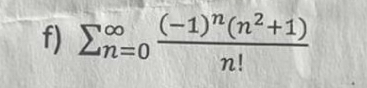
Question: f ) n = 0 ( - 1 ) n ( n 2 + 1 ) n ! find convergence or divergence
f find convergence or divergence
Step by Step Solution
There are 3 Steps involved in it
1 Expert Approved Answer
Step: 1 Unlock
Question Has Been Solved by an Expert!
Get step-by-step solutions from verified subject matter experts
Step: 2 Unlock
Step: 3 Unlock
