Question: f. _ . v . _ 16. A population P grows according, to the equation air. kP. If the population of P triples ever}; 35










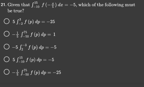
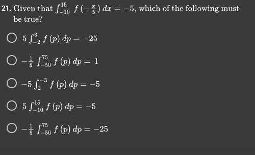
\f. _ . v . _ 16. A population P grows according, to the equation air. kP. If the population of P triples ever}; 35 years, what is the value of k? 1?. After 28 days, a radioactive substance has decayed to 39.1% of its original amount. After an additimmi 33 days, what percent of its original amount will it have decayed to? 13. If the initial population of bacteria in a petri dish is 1E},[} and it grows 2% per hour, how long will it take to reach a population of 35,0? 0 57.001 hours 0 30.427 hours 0 35.573 hours 0 E2638 hours 0 47.91% hours 21. Given that /, f (-5) de = -5, which of the following must be true? O 5 f , f (p) dp = -25 O 75 50 f (p) dp = 1 O -5/2 f (p) dp = -5 O 5 flo f (p) dp = -5 O - "75 50 f (p) dp = -251. Solve the differential equation y/ = y, y(-5) = -. Oy= = - 2 Oy= 4+7 Oy =8 -2x +1 Oy= 4+ O None of the other answers is correct 2. Solve the differential equation ~ = -5rev, with the initial condition (0, - 1). Oy = 5x Oy= Bail Oy= - In(e + 5x2) Oy= - In(e + 5x) Oy= - In(2) + 10 In(x) 3. Solve the differential equation y/ = 3y, with y(0) = 6. Oy= 6e-ir Oy= 3+18 Oy = 6 In(3x) Oy= -3x +6 Oy=e-3 +6 4. Which of the following is the solution to the differential equation dy = 3 with the initial condition y(e) = -5? O y = 3In(x) - 10 Oy=3ln(2) Oy= 3ln() +8 Oy= 3ln(x) + 10 Oy= 3ln(2) - 87. The slope field for a specific differential equation is shown below. W N L O - NW -4 -3 0 3 Which of the following could be a solution to the differential equation with an initial condition of y(0) = 2? Oy= 1-er Oy=e*+1 O y = In(z) +1 Oy = Oy= 1-In(x)
Step by Step Solution
There are 3 Steps involved in it
Get step-by-step solutions from verified subject matter experts
