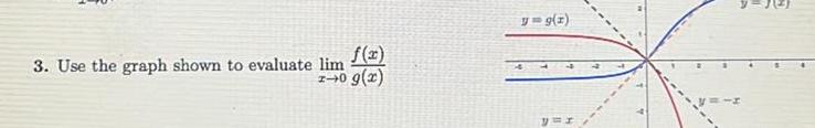
Question: f x 2 0 g x 3 Use the graph shown to evaluate lim y g x 3. Use the graph shown to evaluate lim


f x 2 0 g x 3 Use the graph shown to evaluate lim y g x
3. Use the graph shown to evaluate lim
Step by Step Solution
There are 3 Steps involved in it
Get step-by-step solutions from verified subject matter experts
