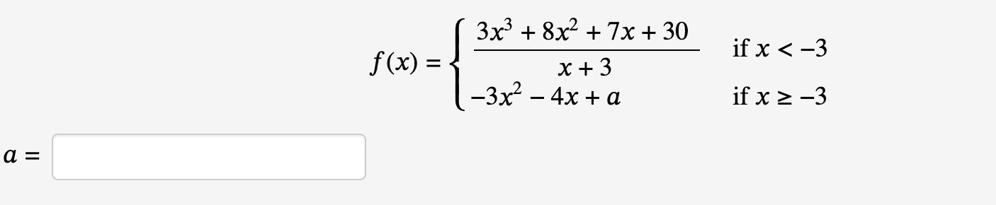
Question: f ( x ) = { ( ( 3 x ^ ( 3 ) + 8 x ^ ( 2 ) + 7 x +
fxxxxx if xxxa if x:
Step by Step Solution
There are 3 Steps involved in it
1 Expert Approved Answer
Step: 1 Unlock
Question Has Been Solved by an Expert!
Get step-by-step solutions from verified subject matter experts
Step: 2 Unlock
Step: 3 Unlock
