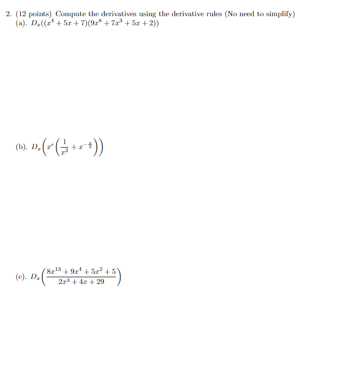
Question: f2. (12 points) Compute the derivatives using the derivative rules (No need to simplify) (a). De((x' + 5x + 7)(9x + 72 + 5x +2))




\f2. (12 points) Compute the derivatives using the derivative rules (No need to simplify) (a). De((x' + 5x + 7)(9x + 72 + 5x +2)) (c). DE. 8r + 9r + 5x3 + 5 2:x3 + 4x + 29
Step by Step Solution
There are 3 Steps involved in it
Get step-by-step solutions from verified subject matter experts
