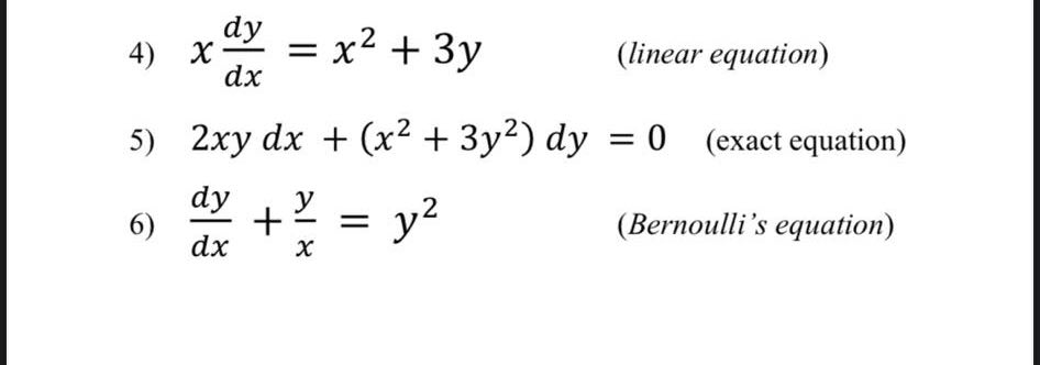
Question: fDetermine the solution for the following differential equations. Express the final answer in y = f(x) form if possible 4) 5) 6) dx = x2




\fDetermine the solution for the following differential equations. Express the final answer in y = f(x) form if possible
4) 5) 6) dx = x2 + 3y (linear equation) 2xy dx + (x2 + 3y2) dy = 0 (exact equation) 2 (Bernoulli 's equation) dx x
Step by Step Solution
There are 3 Steps involved in it
Get step-by-step solutions from verified subject matter experts
