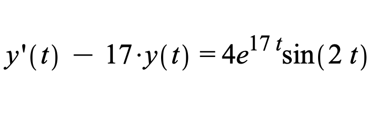
Question: y'(t) 17 y(t) =4e17 tsm(2 t)




y'(t) 17 y(t) =4e17 tsm(2 t)
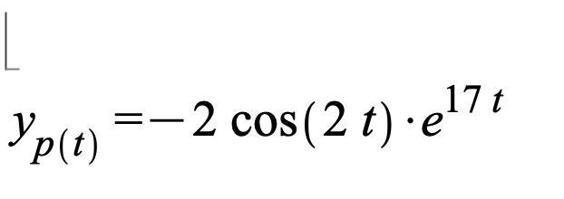
Step by Step Solution
There are 3 Steps involved in it
Get step-by-step solutions from verified subject matter experts




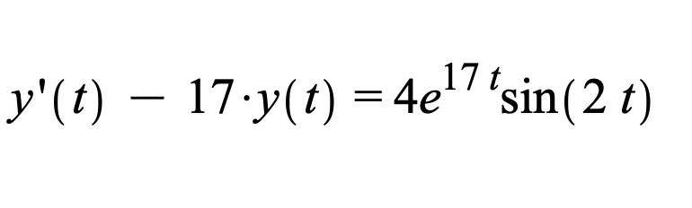
y'(t) 17 y(t) =4e17 tsm(2 t)
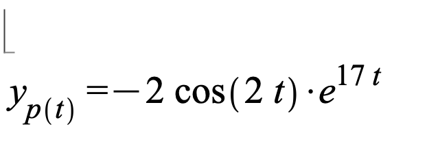
There are 3 Steps involved in it
Get step-by-step solutions from verified subject matter experts