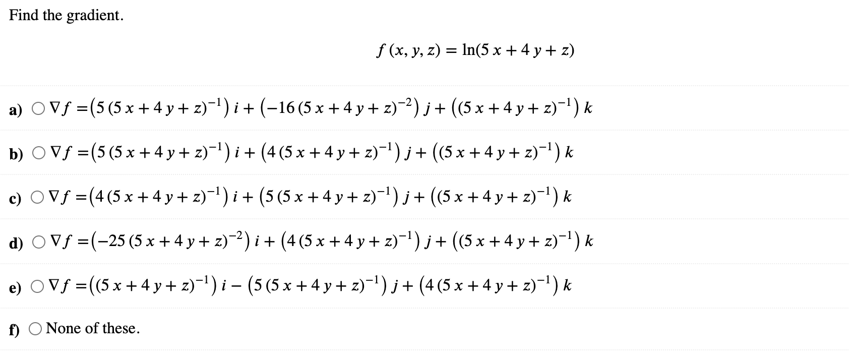
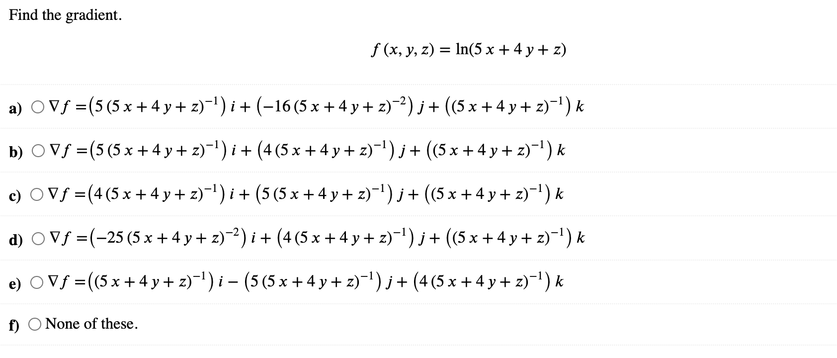
Question: Find the gradient. f (x, y, z) = In(5 x + 4 y + z) Vf = ((5 x +4 y + z) f)


Find the gradient. f (x, y, z) = In(5 x + 4 y + z) Vf = ((5 x +4 y + z) f) None of these.
Step by Step Solution
There are 3 Steps involved in it
Get step-by-step solutions from verified subject matter experts
