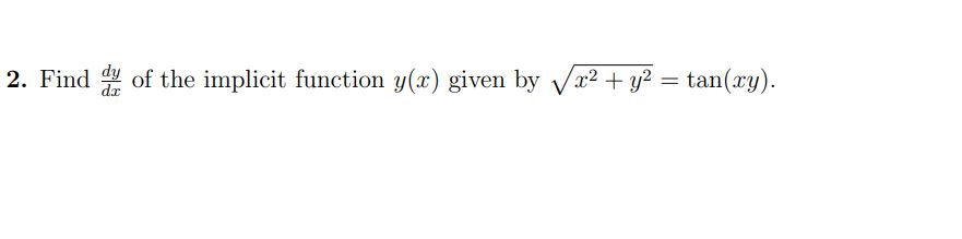
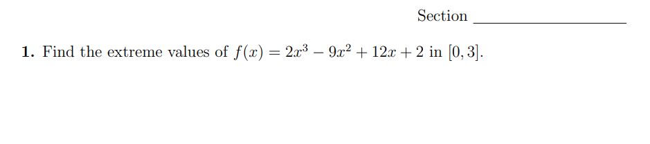
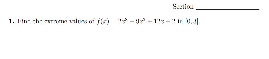
Question: 2. Find of the implicit function y(:r) given by 4- Y2




2. Find of the implicit function y(:r) given by 4- Y2
Step by Step Solution
There are 3 Steps involved in it
Get step-by-step solutions from verified subject matter experts
