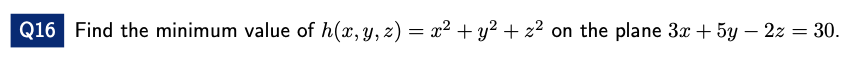
Question: Find the minimum value of y, z) + Y2 + z2 on the plane 3c + 5y 2z 30. Q16




Find the minimum value of y, z) + Y2 + z2 on the plane 3c + 5y 2z 30. Q16
Step by Step Solution
There are 3 Steps involved in it
Get step-by-step solutions from verified subject matter experts
