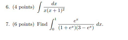
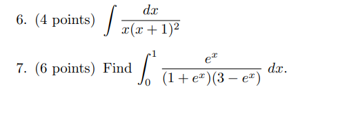
Question: 6. 7. (4 points) (6 points) Find




6. 7. (4 points) (6 points) Find
Step by Step Solution
There are 3 Steps involved in it
Get step-by-step solutions from verified subject matter experts
