Question: 3. Find lich3 sin[%] by using the Squeeze Theorem. Be sure to show all work. :40 1. For which x value(s) is 10 -F X








3. Find lich3 sin[%] by using the Squeeze Theorem. Be sure to show all work. :40
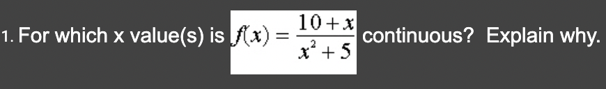
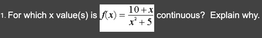
1. For which x value(s) is 10 -F X continuous? Explain why.
Step by Step Solution
There are 3 Steps involved in it
Get step-by-step solutions from verified subject matter experts
