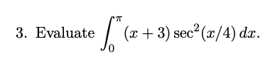
Question: 7T 3. Evaluate ( + 3) sec (x/4) dx.f5. Let f be a function such that f is continuous and f (0) = 5, f'(0)
















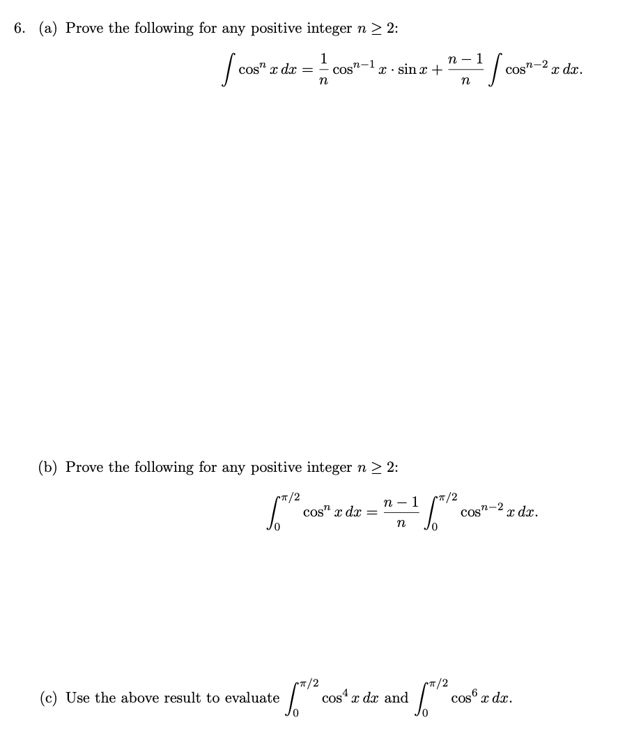
7T 3. Evaluate ( + 3) sec (x/4) dx.\f5. Let f be a function such that f" is continuous and f (0) = 5, f'(0) = -1, f(2) =4, f'(2) = -2, f(4)=-3, f'(4)=6. Find the following definite integrals: (a) [ zf " ( 20 ) da5. (a) Prove the following for any positive integer n 2 2: l _ . nl _ fcosnxdxz cos\" 113'Sl22+ cos\" 2xdzr. n n (b) Prove the following for any positive integer n 2 2: i'r/Q i'T/Q n l _ cos" make 2 cos" 2:3 div. 0 \" 0 Tr/Z if}? (C) Use the above result to evaluate / cos"l scalar and / cosx (22. [I o
Step by Step Solution
There are 3 Steps involved in it
Get step-by-step solutions from verified subject matter experts
