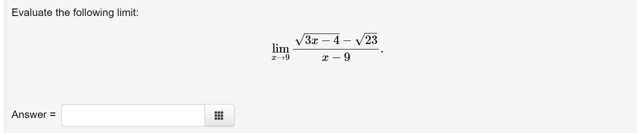
Question: Evaluate the limit Note: Enter 'DNE' if the Limit Does Not Exist. For 00, enter INF For 00, enter MINF





Evaluate the limit Note: Enter 'DNE' if the Limit Does Not Exist. For 00, enter INF For 00, enter MINF
Step by Step Solution
There are 3 Steps involved in it
Get step-by-step solutions from verified subject matter experts
