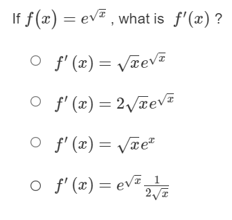
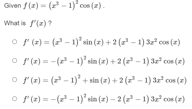
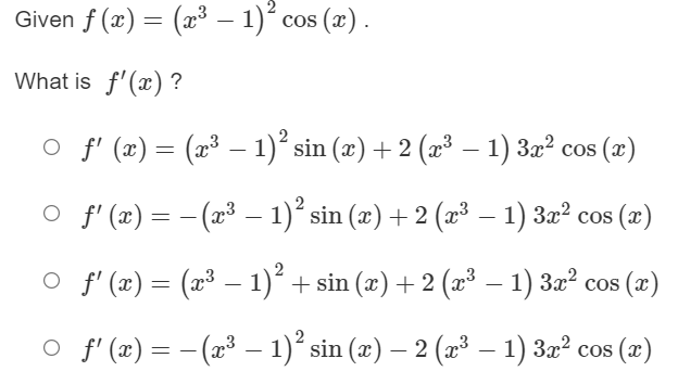
Question: If f (x) 1) (sin (x)) , what is f'(x)? 1) sin@) + sin@) (2x) 1) cos@) sin(x) (2m) 1) sin@) sin@) (2x) 1)










If f (x) 1) (sin (x)) , what is f'(x)? 1) sin@) + sin@) (2x) 1) cos@) sin(x) (2m) 1) sin@) sin@) (2x) 1) cos@) + sin(x) (2m)
Step by Step Solution
There are 3 Steps involved in it
Get step-by-step solutions from verified subject matter experts
