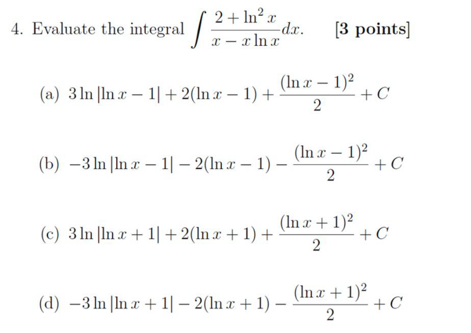
Question: ftan 1 sin 7. Evaluate the integral + tan x2 cos [3 points] (a) sec + tan - C (b) sec - tan + -

![[3 points] (a) sec + tan - C (b) sec - tan](https://s3.amazonaws.com/si.experts.images/answers/2024/06/6680d9a6aa42a_3586680d9a69640a.jpg)


![tan(x?)da. [3 points] (a) sec3 (x2) tan(x2) 6 + C (b) sec](https://s3.amazonaws.com/si.experts.images/answers/2024/06/6680d9a7963eb_3596680d9a7856e6.jpg)


![Evaluate the integral dx. [3 points] x3 +1 (a) x3 + 2x](https://s3.amazonaws.com/si.experts.images/answers/2024/06/6680d9a89b7b3_3606680d9a885119.jpg)



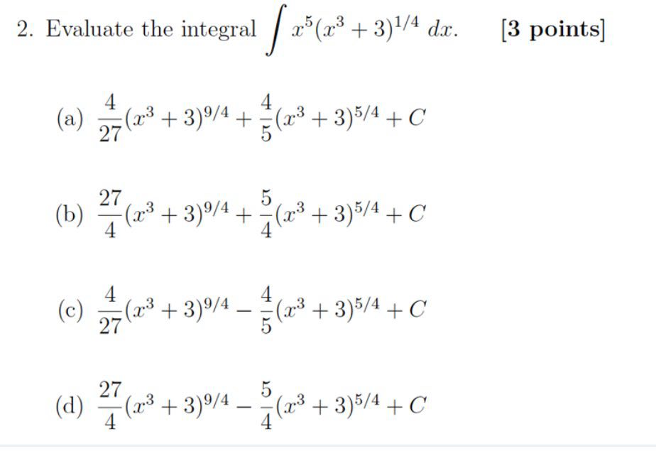
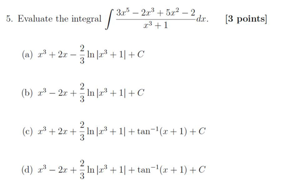
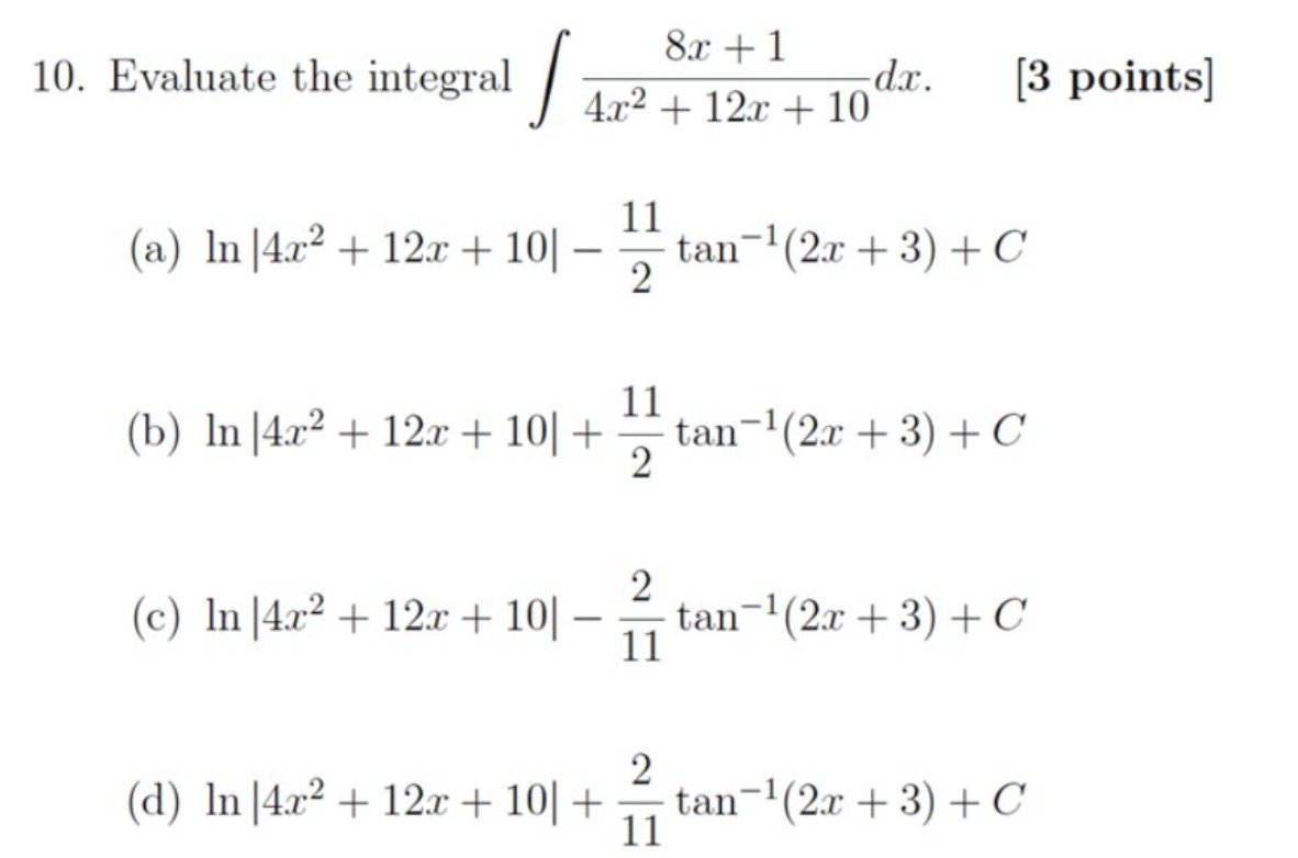
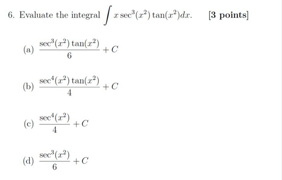
\ftan 1 sin 7. Evaluate the integral + tan x2 cos [3 points] (a) sec + tan - C (b) sec - tan + - C (c) - sec - tan + C (d) - sec - tan + + C6. Evaluate the integral / x sec(x2) tan(x?)da. [3 points] (a) sec3 (x2) tan(x2) 6 + C (b) sec (x2 ) tan(x2) + C (c) sect (x2) + C 4 (d) sec3 (a2 ) + C 63.15 - 2x3 + 5x2 -2 5. Evaluate the integral dx. [3 points] x3 +1 (a) x3 + 2x - In |x3 + 1) + C (b) 23 - 2x+ , In |23 +1+ C (c) 23 + 2 + - COINS In a3 + 1| + tan '(x + 1) + C (d) 23 - 2x + In (x3 + 1 + tan '(x + 1) + C8x + 1 10. Evaluate the integral d.x. 4x2 + 12x + 10 [3 points] 11 (a) In |4x2 + 12x + 10 - 2 tan '(2x + 3) + C 11 (b) In |4x2 + 12x + 10|+ 2 tan-'(2.x + 3) + C (c) In |4x2 + 12x + 10 - 2 11 tan '(2x + 3) + C 2 (d) In |4x2 + 12.x + 10| + 11 tan '(2x + 3) + C
Step by Step Solution
There are 3 Steps involved in it
Get step-by-step solutions from verified subject matter experts
