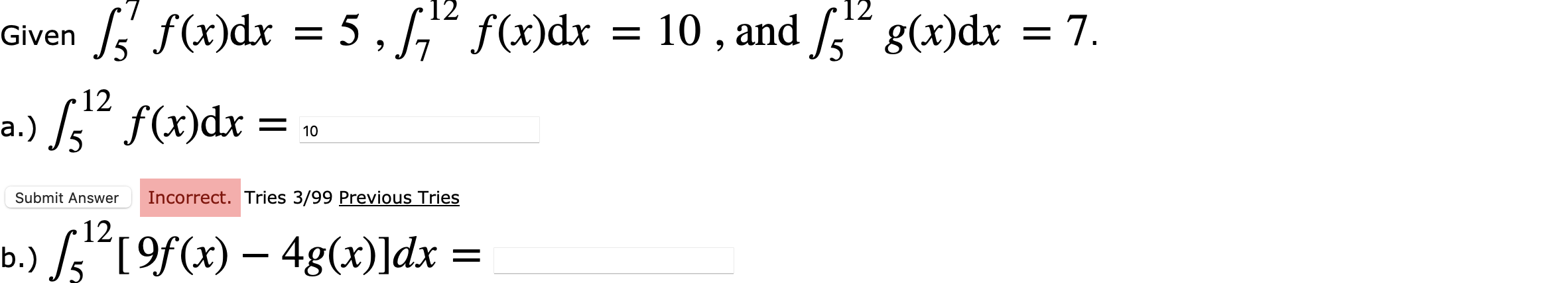
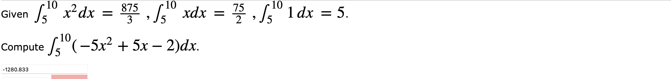
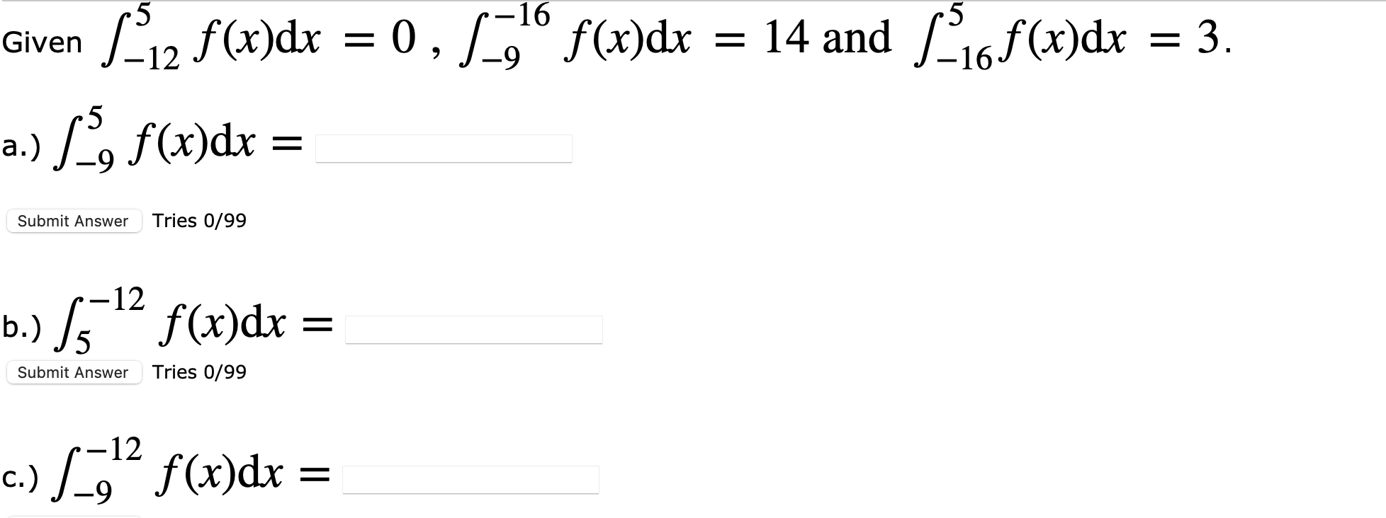
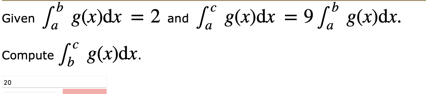
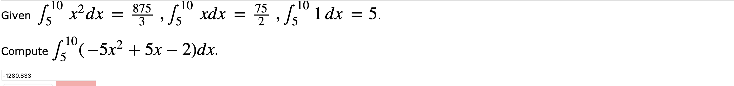
Question: fGiven 5 f(x)dx = 5 , ], f(x)dx = 10 , and 5 g(x)dx = 7. 12 a.) J5 f(x)dx = 10 Submit Answer Incorrect.
![\fGiven 5 f(x)dx = 5 , ], f(x)dx = 10 ,](https://s3.amazonaws.com/si.experts.images/answers/2024/06/6667edf8b6b48_1606667edf8a40dd.jpg)

![Answer Incorrect. Tries 3/99 Previous Tries b.) / [9f(x) - 48(x)]dx =](https://s3.amazonaws.com/si.experts.images/answers/2024/06/6667edf990565_1616667edf9763a2.jpg)





\fGiven 5 f(x)dx = 5 , ], f(x)dx = 10 , and 5 g(x)dx = 7. 12 a.) J5 f(x)dx = 10 Submit Answer Incorrect. Tries 3/99 Previous Tries b.) / [9f(x) - 48(x)]dx =
Step by Step Solution
There are 3 Steps involved in it
Get step-by-step solutions from verified subject matter experts
