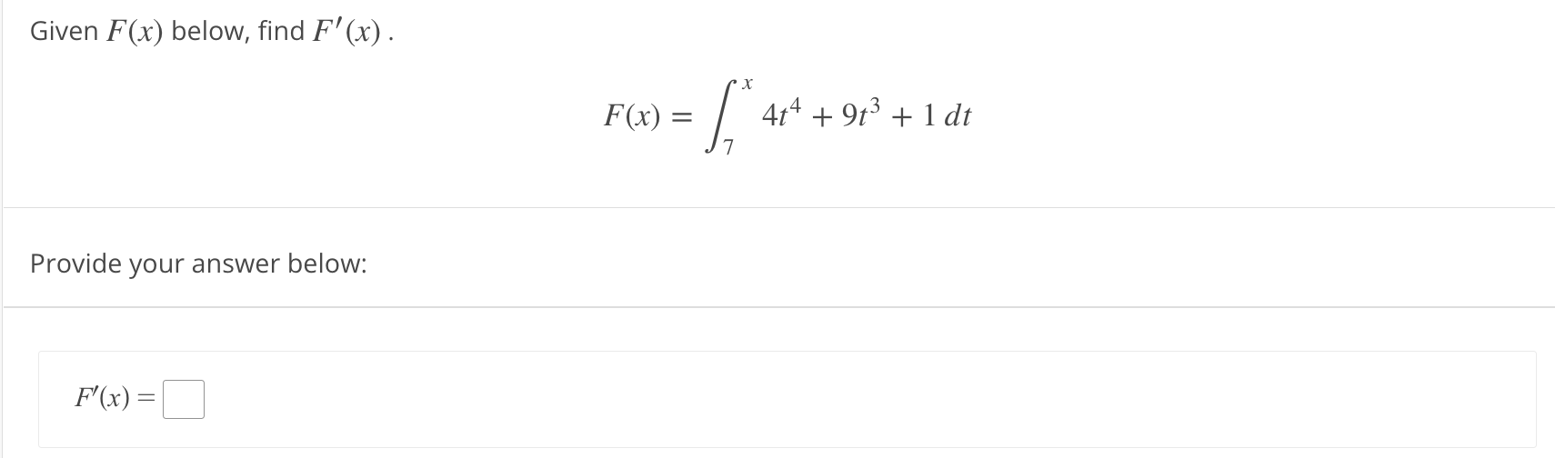
Question: Given F (x) below, find F' (x) . Provide your answer below: F'(x) - 4t4 + 9t3 + 1 dt 7


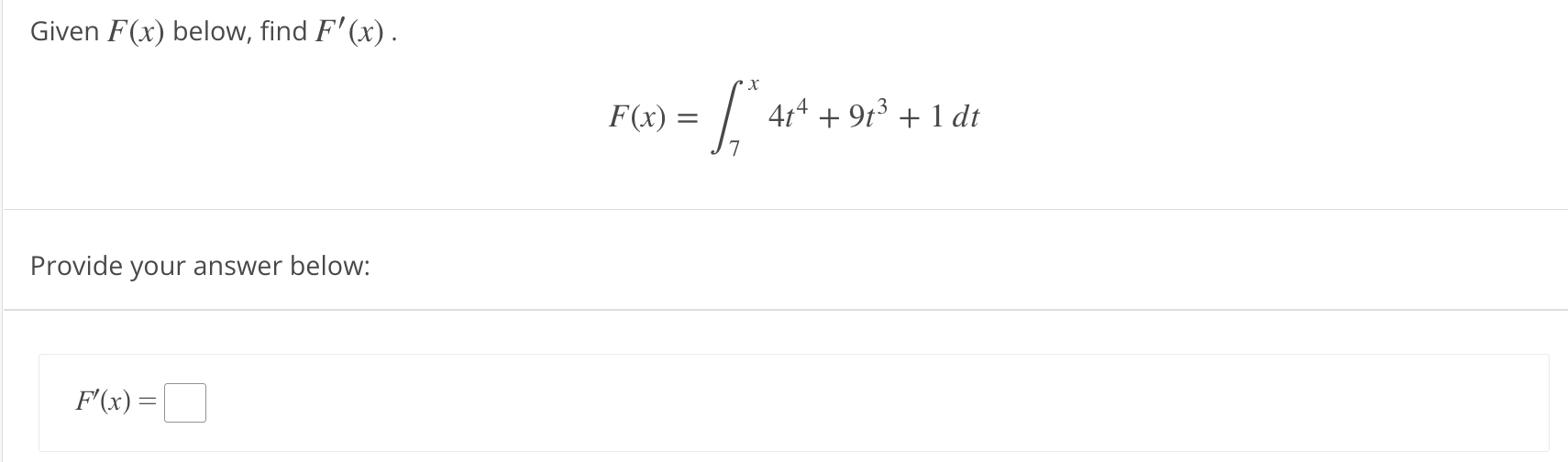
Given F (x) below, find F' (x) . Provide your answer below: F'(x) - 4t4 + 9t3 + 1 dt 7
Step by Step Solution
There are 3 Steps involved in it
Get step-by-step solutions from verified subject matter experts
