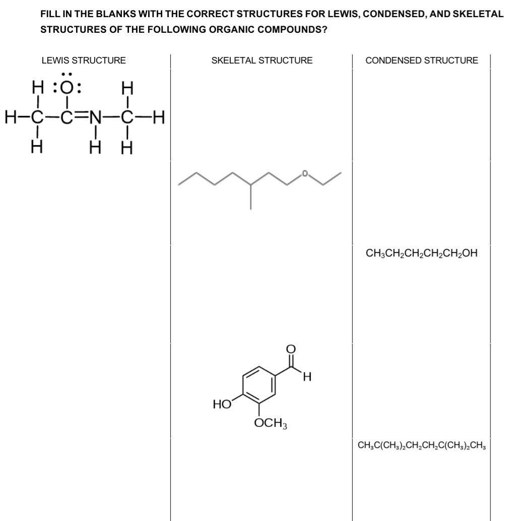
Question: FILL IN THE BLANKS WITH THE CORRECT STRUCTURES FOR LEWIS, CONDENSED, AND SKELETAL STRUCTURES OF THE FOLLOWING ORGANIC COMPOUNDS? LEWIS STRUCTURE SKELETAL STRUCTURE CONDENSED STRUCTURE
FILL IN THE BLANKS WITH THE CORRECT STRUCTURES FOR LEWIS, CONDENSED, AND SKELETAL STRUCTURES OF THE FOLLOWING ORGANIC COMPOUNDS? LEWIS STRUCTURE SKELETAL STRUCTURE CONDENSED STRUCTURE H:O: H 1 H-C-C=N-C-H 1 H H H CH3CH2CH2CH2CH2OH would H HO OCH3 CH3C(CH3)2CH2CH2C(CH3)2CH3
Step by Step Solution
There are 3 Steps involved in it
1 Expert Approved Answer
Step: 1 Unlock
Question Has Been Solved by an Expert!
Get step-by-step solutions from verified subject matter experts
Step: 2 Unlock
Step: 3 Unlock
