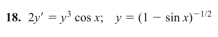
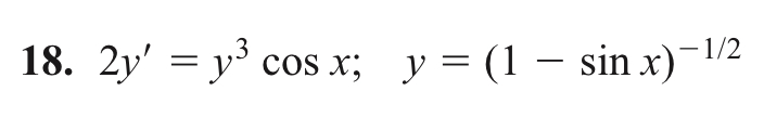
Question: fIn Problems 15-18 verify that the indicated function y = (x) is an explicit solution of the given first-orde differential equation. Proceed as in Example




\fIn Problems 15-18 verify that the indicated function y = (x) is an explicit solution of the given first-orde differential equation. Proceed as in Example 2, by consider- ing o simply as a function, give its domain. Then by consid ering o as a solution of the differential equation, give at least one interval I of definition
Step by Step Solution
There are 3 Steps involved in it
Get step-by-step solutions from verified subject matter experts
