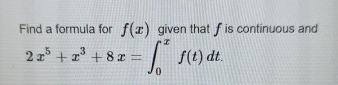
Question: Find a formula for f ( x ) given that f is continuous and 2 x 5 + x 3 + 8 x = 0
Find a formula for given that is continuous and
Step by Step Solution
There are 3 Steps involved in it
1 Expert Approved Answer
Step: 1 Unlock
Question Has Been Solved by an Expert!
Get step-by-step solutions from verified subject matter experts
Step: 2 Unlock
Step: 3 Unlock
