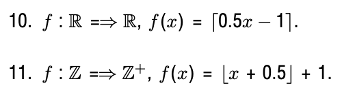
Question: Find if the given expression is a function, if so is it injective or subjective PLEASE ANSWER THE QUESTION BY USING NUMBERS AND STEP BY
Find if the given expression is a function, if so is it injective or subjective PLEASE ANSWER THE QUESTION BY USING NUMBERS AND STEP BY STEP
Step by Step Solution
There are 3 Steps involved in it
1 Expert Approved Answer
Step: 1 Unlock
Question Has Been Solved by an Expert!
Get step-by-step solutions from verified subject matter experts
Step: 2 Unlock
Step: 3 Unlock
