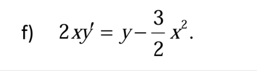
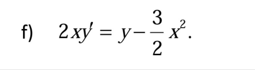
Question: find integral factor and solve this equation. f) 2 xy = y

find integral factor and solve this equation.

f) 2 xy = y
Step by Step Solution
There are 3 Steps involved in it
Get step-by-step solutions from verified subject matter experts
