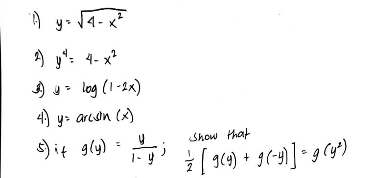
Question: Find the domain log (l arcan (x) U dhow Biak
Find the domain

log (l arcan (x) U dhow Biak
Step by Step Solution
There are 3 Steps involved in it
Get step-by-step solutions from verified subject matter experts
Find the domain

log (l arcan (x) U dhow Biak
There are 3 Steps involved in it
Get step-by-step solutions from verified subject matter experts