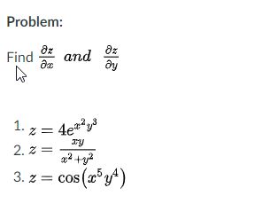
Question: Find the indicated partial derivativels]. 1. J (3,3,!) = 334%: may ; Find. jam and fry? 2- f($1y:3] = a? ; Find in
![Find the indicated partial derivativels]. 1. J\" (3,3,!) = 334%: may](https://s3.amazonaws.com/si.experts.images/answers/2024/06/6667fafbe35f9_4916667fafbc6ab0.jpg)
![; Find. jam and fry\"? 2- f($1y:3] = a\"? ; Find in\"](https://s3.amazonaws.com/si.experts.images/answers/2024/06/6667fafc42edb_4926667fafc2b30b.jpg)


Find the indicated partial derivativels]. 1. J\" (3,3,!) = 334%: may ; Find. jam and fry\"? 2- f($1y:3] = a\"? ; Find in\"
Step by Step Solution
There are 3 Steps involved in it
Get step-by-step solutions from verified subject matter experts
