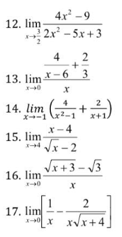
Question: Find the limits of the given functions using any method of solution that you know 4x- -9 12. lim 2x2 - 5x + 3 4

Find the limits of the given functions using any method of solution that you know

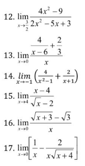
4x- -9 12. lim 2x2 - 5x + 3 4 + WIN 13. lim r - X 14. lim 2 x--1 x2-1 x-4 15. lim X - 2 x+3 16. lim - V3 2 17. lim X XVx+4
Step by Step Solution
There are 3 Steps involved in it
Get step-by-step solutions from verified subject matter experts
