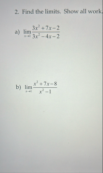
Question: Find the limits . Show all work. a ) lim x 1 3 x 2 7 x - 2 3 x 2 - 4 x
Find the limits Show all work.
a
b
Step by Step Solution
There are 3 Steps involved in it
1 Expert Approved Answer
Step: 1 Unlock
Question Has Been Solved by an Expert!
Get step-by-step solutions from verified subject matter experts
Step: 2 Unlock
Step: 3 Unlock
