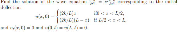
Question: Find the solution o f the wave equation d e l u d e l t 2 = c 2 d e l u d
Find the solution the wave equation corresponding the initial
deflection
Step by Step Solution
There are 3 Steps involved in it
1 Expert Approved Answer
Step: 1 Unlock
Question Has Been Solved by an Expert!
Get step-by-step solutions from verified subject matter experts
Step: 2 Unlock
Step: 3 Unlock
