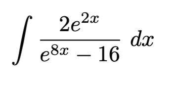
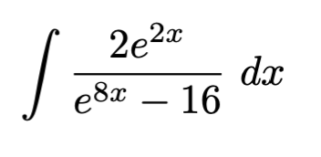
Question: Findthefollowingindeniteintegration. 2x dx e 8x - 16 '2e2c e8 16

Findthefollowingindeniteintegration.

2x dx e 8x - 16
'2e2c e8 16
Step by Step Solution
There are 3 Steps involved in it
Get step-by-step solutions from verified subject matter experts
