Question: first question please Problem 14-02 (Algorithmic) new client. As an initial investment strategy, the new client would like to restrict the portfolio to a mix



first question please
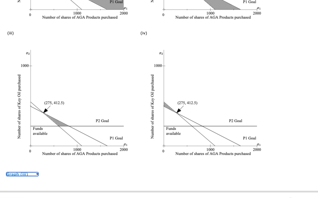
Problem 14-02 (Algorithmic) new client. As an initial investment strategy, the new client would like to restrict the portfolio to a mix DJS Investment Services must develop an investment portfolio for of two stocks: Estimated Annual Return (%) Stock Price/Share $ 50 AGA Products 6 Key Oil 100 10 The client wants to invest $55,000 and established the following two investment goals: Priority Level 1 Goal Goal 1: Obtain an annual return of at least 9%. Priority Level 2 Goal Goal 2: Limit the investment in Key Oil, the riskier investment, to no more than 45% of the total investment. a. Formulate a goal programming model for the DJS Investment problem. If you don't need the variable in the model, enter "O". If you need a negative number, enter minus sign with it. Let X1 = number of shares of AGA Products purchased x2 = number of shares of Key Oil purchased dit = the amount by which the annual return for the portfolio is greater than the target value di = the amount by which the annual return for the portfolio is less than the target value d2+ = the amount by which the portfolio risk index exceeds the target value of the total investment d2 = the amount by which the portfolio risk index is less than the target value of the total investment I Min 1 Pildi) 1 Pold+) Min 1 P1(d1") + 1 P2(d2+) s.t. 50 X1 + 100 x2 ≤ 55,000 Funds available X1 + www + -1 dit + 1 di P1 Goal X1 + X2 + = P2 Goal -1 det + 1 d2 x1, x2, di", di,dz, d2" ≥ 0 b. Choose the correct graph that solves the model formulated in part (a). (0) (ii) ) 02 12 1000 1000 (275, 412.5) (275, 412.5) Number of shares of Key Oil purchased Number of shares of Key Oil purchased P2 Goal P2 Goal Funds available Funds available P1 Goal Pl Goal Ti 2000 11 2000 1000 0 0 1000 1 Pl Goal 21 1000 2000 Number of shares of AGA Products purchased Pl Goal 21 1000 2000 Number of shares of AGA Products purchased 0 0 (iii) (iv) ma ma 1000 1000 (275, 412.5) (275, 412.5) Number of shares of Key Oil purchased Number of shares of Key Oil purchased P2 Goal P2 Goal Funds available Funds available Pl Goal Pl Goal 0 21 1000 2000 Number of shares of AGA Products purchased 0 21 1000 2000 Number of shares of AGA Products purchased Graphith)Step by Step Solution
There are 3 Steps involved in it
1 Expert Approved Answer
Step: 1 Unlock
Question Has Been Solved by an Expert!
Get step-by-step solutions from verified subject matter experts
Step: 2 Unlock
Step: 3 Unlock
