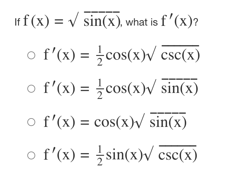
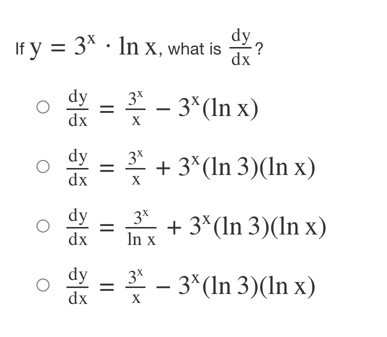
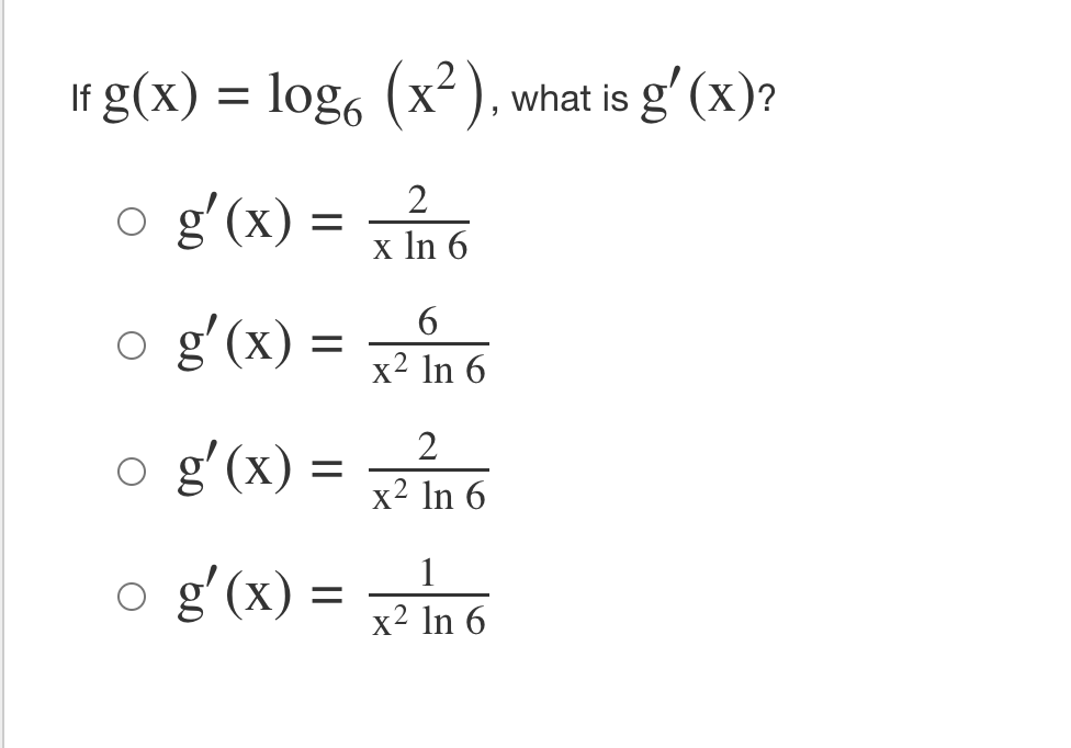
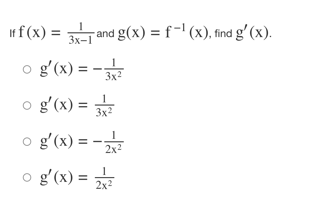
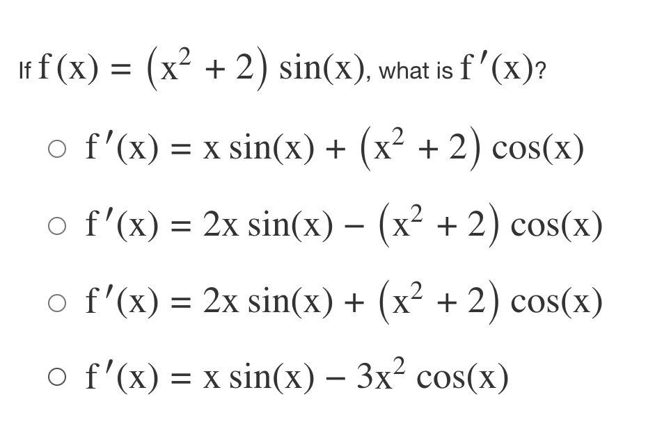
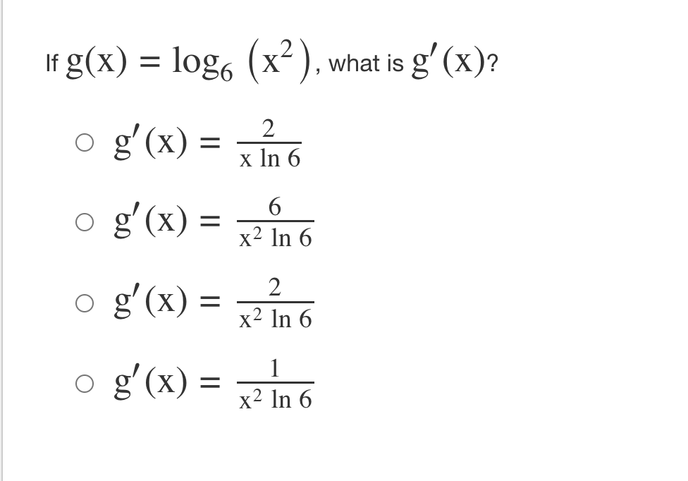
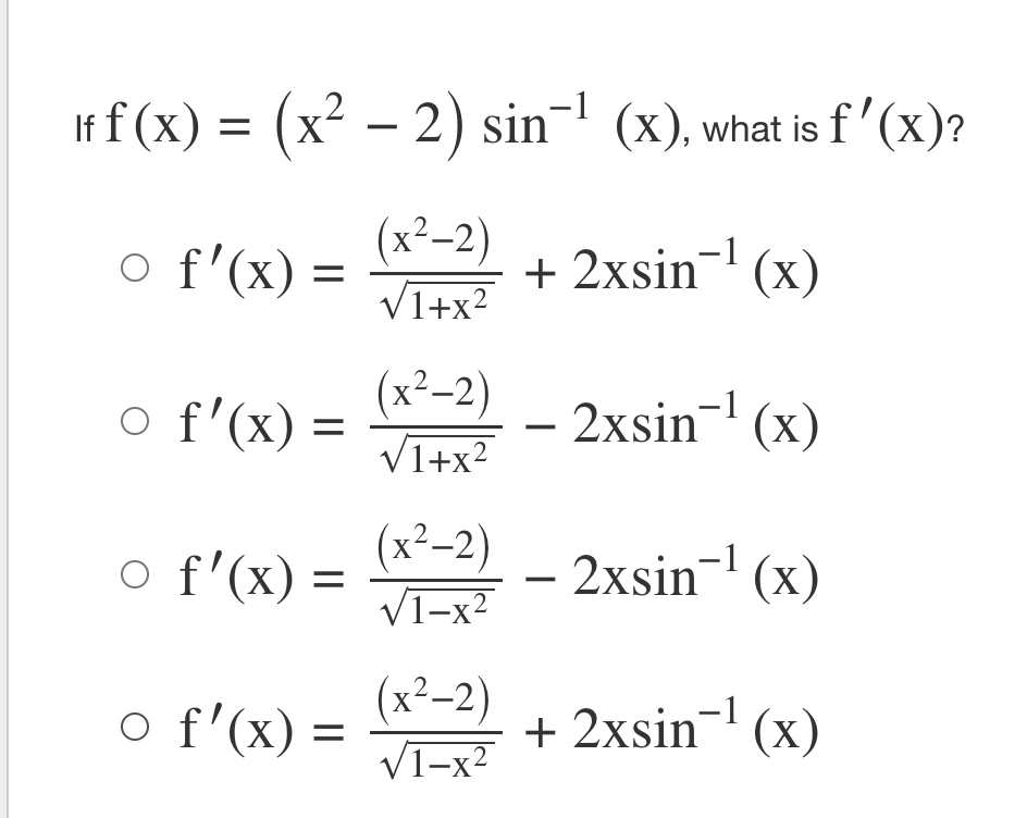
Question: foo = (x2 + 2) smog, what is Fog)? o f'(x) = x sin(x) + (x2 + 2) cos(x) o f'(X) = 2x smog (x2
























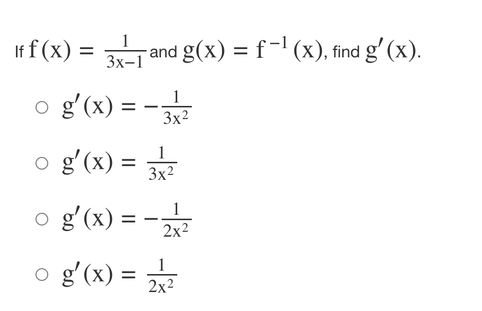
"foo = (x2 + 2) smog, what is Fog)? o f'(x) = x sin(x) + (x2 + 2) cos(x) o f'(X) = 2x smog (x2 + 2) cos(x) o f'(x) = 2x sin(x) + (x2 + 2) cos(x) o f'(X) = x smog 3x2 cos(x) If f(X) = V;:g:land g(X) = f _1 (X), find the slope of the curve g(X) = f _1 (X)at the point(2, 1). o g'(2) =% O g'(2) =% o g'(2) =1 0 g'(2) =
Step by Step Solution
There are 3 Steps involved in it
1 Expert Approved Answer
Step: 1 Unlock
Question Has Been Solved by an Expert!
Get step-by-step solutions from verified subject matter experts
Step: 2 Unlock
Step: 3 Unlock
