Question: For each of the following linear programming models below, which is the more efficient way to obtain an optimalsolution: by applying the simplex method directly
For each of the following linear programming models below, which is the more efficient way to obtain an optimalsolution: by applying the simplex method directly to this primal problem or by applying the simplex method directly to the dual problem instead. Explain why. (a) Maximize Z=10x1-4x2+7x3, subject to 3x, - x2 + 2x3

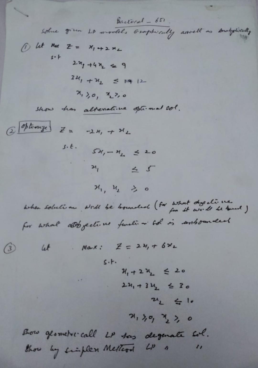
Solve the above questions as asked. Donot provide solutions incorrectly, graphical solutions should also be given if possible. This is my final assignment. Please donot make any sort of mistake.

Solve these questions properly with steps, calculations, graphs and tables. also solve it manually hand written.
Analytically Practical _ 651 solue giren LP mood, Graphwenlly x + 2x2 s. 22, +44 a 9 0 let Max Z = 34, +", Sro 12 *), , *_), has alteratione optimal sol. show optionze , L sot. su, - n = 20 21 ,, , > when solution will be boundled (for what abgecline for it would be hand) for what objective functie fol is unbounders let Max: Z = 24 + 6212 - sit. 3,42, C 20 24, + 3 4 = 30 2 21,3,0, ", o show glomete-call LP was degenate sel. 21 Show by simplen Melteod 4 Bacteral _ 651 solue giren LP model, Graphwenlly aswell- x + 2x Analyticully o let Max Z = sot 2 44 9 3 F 12 21,), , *_, has altenatiine optimal sol. show optionze za -2x + 42 sit. 54,- = 20 21 2, 4, > 0 will be boundled (for what abgecline for it will be hand) for what objective functionari fol is unbounded when solution let Max: Z = 24, + 622 sot. 4, + 24 = 20 22, +34 = 30 2 = 10 21,3,0, >, show glometre call LP sas degenate sol. Show by simplen Mellrod LP 4Step by Step Solution
There are 3 Steps involved in it
Get step-by-step solutions from verified subject matter experts
