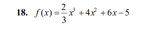
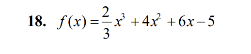
Question: For problems 15 - 22, find all points on the graph of f where the tangent line is horizontal. For problems 15 22, find all






For problems 15 - 22, find all points on the graph of f where the tangent line is horizontal.
For problems 15 22, find all points on the graph off where the tangent line is horizontal.
Step by Step Solution
There are 3 Steps involved in it
Get step-by-step solutions from verified subject matter experts
