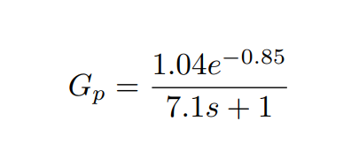
Question: for the above first order plus delay system, provide Matlab code with step response. Gp is the first order plus delay system. whrere k= 1.04

for the above first order plus delay system, provide Matlab code
with step response.
Gp is the first order plus delay system.
whrere
k= 1.04
td = delay time =0.85
ts =time constant =7.1
Parameters Ziegler-Nichols 9.64 1.7 Td 0.43 Ti 1.04e-0.85 Gp 7.1s +1 Parameters Ziegler-Nichols 9.64 1.7 Td 0.43 Ti 1.04e-0.85 Gp 7.1s +1
Step by Step Solution
There are 3 Steps involved in it
Get step-by-step solutions from verified subject matter experts
