Question: For the following java code segment, give a theoretical analysis of the running time. sum = 0; for( i = 0; i n; i =
For the following java code segment, give a theoretical analysis of the running time.
sum = 0;
for(i = 0; i n; i = i + 1){
for(j = 0; j i * i; j = j + 1){
for(k = 0; k j; k = k + 1){
sum = sum + 1;
}
}
}
Hint:
- The number of primitive operations of for(i = 0; i n; i = i + 1) =
- The number of primitive operations of for(j = 0; j i * i; j = j + 1) =
- The number of primitive operations of for(k = 0; k j; k = k + 1) =
- Compute the number of primitive operations for other statements.
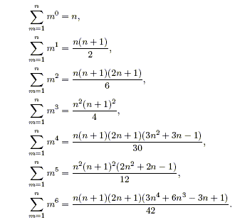
- Add them together as a function of n. You may need the following formulas:
- Apply the rules (change non-zero coefficient to 1; drop lower order terms) to simplify the function.
? = , m=1 ' - 0+11, ( + 1) 2 ( + 1) (2n + 1) ?. 6 m=1 - +11 - 1 ?( + 1)? 4 ( + 1)(2n + 1)(3n? + 3 1) 30 m=1 n?(n + 1)?(2n + 20 1), in 12 m=1 R ( + 1)(2n + 1)(374 +- 6n3 - 3 + 1) 42 m1
Step by Step Solution
There are 3 Steps involved in it
Get step-by-step solutions from verified subject matter experts
