Question: For the function f ( x ) = x 2 - 7 x - 5, find the vertex. Find all vertical asymptotes for the rational

For the function f(x) = x2 - 7x- 5, find the vertex.
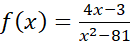
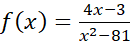
Find all vertical asymptotes for the rational function

4x 2 1
Step by Step Solution
There are 3 Steps involved in it
Get step-by-step solutions from verified subject matter experts
