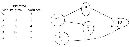
Question: For the network shown below, identify the critical path and calculate the probability of finishing the project in more than 25 weeks (i.e. P(>25) =
For the network shown below, identify the critical path and calculate the probability of finishing the project in more than 25 weeks (i.e. P(>25) = ?) Note that the expected time and variance for each activity are already computed for you.

1/2) Which is the critical path?
ACE
DE
ABE
2/2) What is the probability of finishing the project in more than 25 weeks (i.e. P(>25) = ?)
14.3%
15.9%
31.0%
27.7%
Expected Activity time Variance A 8 3 B 7 1 1 48 ES 9 4 9 D 18 2 E 5 2 2 D 18Step by Step Solution
There are 3 Steps involved in it
Get step-by-step solutions from verified subject matter experts
