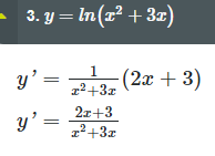
Question: for this question 1 4 (2 marks)3. y = In (1 + 31 y 2x + 3 21+ 3 y I 2 +31
for this question


1 4 (2 marks)3. y = In (1 + 31 y 2x + 3 21+ 3 y I 2 +31
Step by Step Solution
There are 3 Steps involved in it
1 Expert Approved Answer
Step: 1 Unlock
Question Has Been Solved by an Expert!
Get step-by-step solutions from verified subject matter experts
Step: 2 Unlock
Step: 3 Unlock
