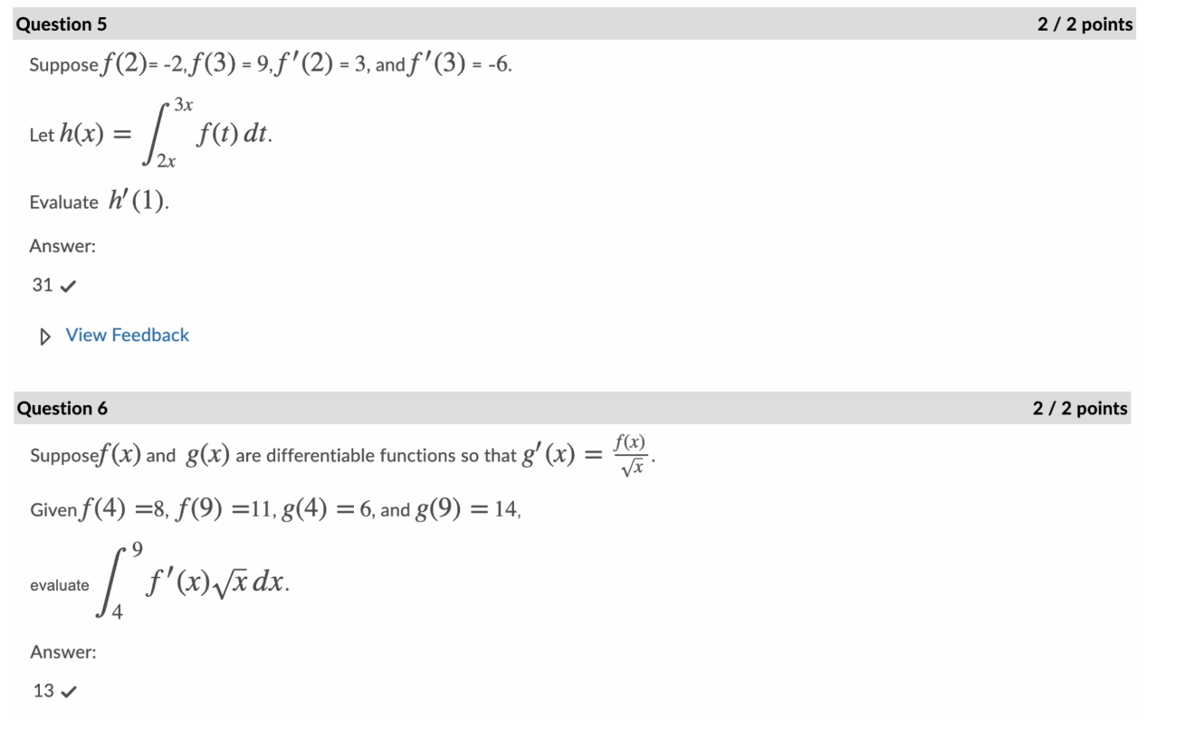
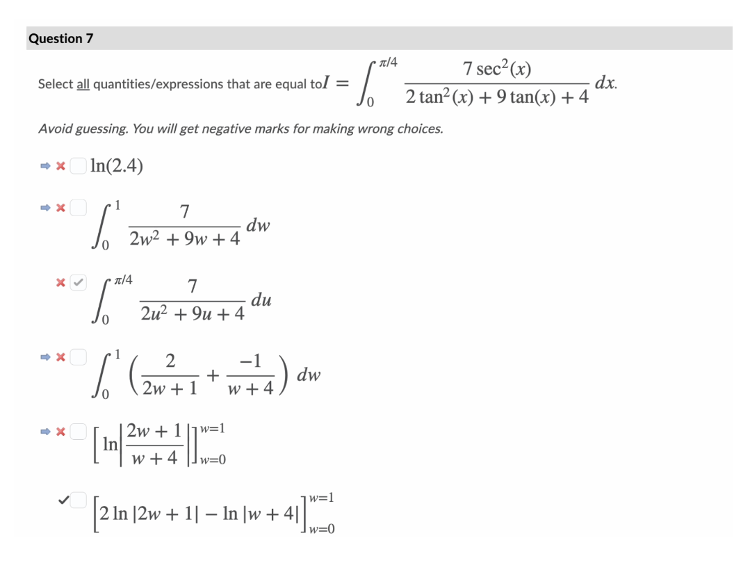
Question: fQuestion 7 7 sec2(x) Select all quantities/expressions that are equal to/ = dx. 2 tan? (x) + 9 tan(x) + 4 Avoid guessing. You will


\fQuestion 7 7 sec2(x) Select all quantities/expressions that are equal to/ = dx. 2 tan? (x) + 9 tan(x) + 4 Avoid guessing. You will get negative marks for making wrong choices. # x In(2.4) x 7 dw O 2w2 + 9w + 4 x v 7 du 2u2 + Ju + 4 - X 2 -1 + 2w + 1 dw w + 4 - X In 2w + 1 w=1 w + 4 JW=0 2 In |2w + 11 - In |w + 41 1w= 1 JW=0
Step by Step Solution
There are 3 Steps involved in it
Get step-by-step solutions from verified subject matter experts
