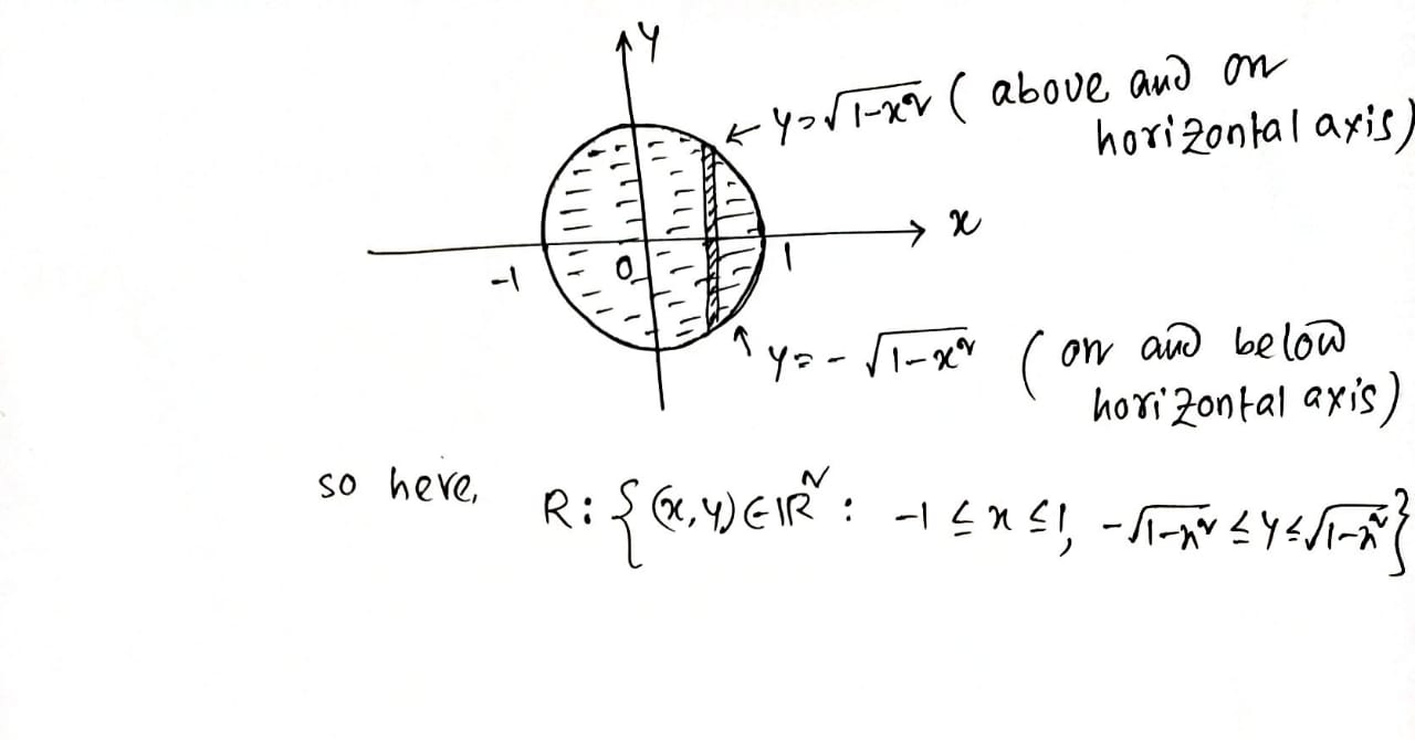
Question: FRom Calculus of a Single Variable, Larson please check if this is correct and make corrections as needed. Use Green's Theorem to calculate the work
FRom Calculus of a Single Variable, Larson
please check if this is correct and make corrections as needed.
Use Green's Theorem to calculate the work done by the force F on a particle that is moving counterclockwise around the closed path C


















\f\f\f\f\f\f\f\f\f\f\f\f\f\f\f\f\fKyoVI-xr ( above and on horizontal axis 1 1 1 1 1 -1 0 ( on and below horizontal axis) so here, R: S ( x, y)GIR : -1 EnEl - Ji-guysVI-n
Step by Step Solution
There are 3 Steps involved in it
Get step-by-step solutions from verified subject matter experts
