Question: From Vector Equation of a Plane lesson. Please write it on paper as it's easier to understand. 6. The plane with the equation r =



From "Vector Equation of a Plane" lesson. Please write it on paper as it's easier to understand.



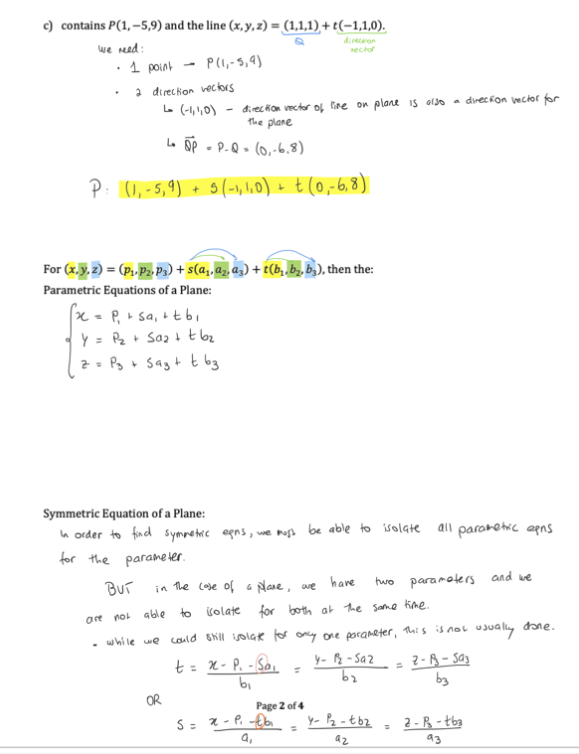
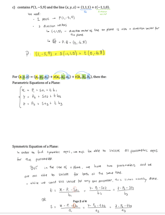
6. The plane with the equation r = (1,2,3) + s(1,2,5) + t(1, -1,3), where s, te R intersects the y and z-axes at the points A and B. Determine the equation of the line through the points A and B.Vector Equations of Planes A plane is a 2D figure of infinite dimension. Consider what is required to define a plane. Like a line, you need to know position and direction. "Direction" on a plane is a bit trickier to consider. How many vectors would be required to create a spanning set for the plane? Write an expression for a linear combination for these vectors: sa+ tb , where at ErR a, 6 are vectors If p is a position vector to a known point on the plane, and a and 6 are direction rectory then P: p + sa + 06 parameters Example 1: direckon vectors State the vector equation of the plane that: a) goes through the point P(1,2,3) and has the direction vectors a = (-2,5,7) and b = (8,-3, -1) P p + sa + tb - (1,a,3) + s(-2,5,71 + t (8,3,-1) b) contains the points A(-1,3,8), B(-1,1,0) and C(4,1,1). To And the eqr of a plane, we read : . 1 point (one have 3 to choose for) - take point A . a direction rectory ron Lollistar L AB = B-A = (-1, 1, 0)-(-1,3, 8 ) = (0,-2,-8) L. AC = COA. ( 4, 1, 1) - (-1, 3, 8 ) = 15,-2, -7) P: A + SA6+ t AC - (-1, 3, 8) +5 (0,-2,-8) +t (5,-2,-7 ) Page 1 of 4c) contains P(1, -5,9) and the line (x, y. z) = (1,1,1) + t(-1,1,0). we red: . 1 point - P (1,- 5,9) a direction vectors Le (-1, 1,0) - direction vector of fire on plane is also a direction vector for The plane L DP = P. Q = (0,-6.8) P: (1, - 5, 9) + 5(-1, 1,0) + t (0,-6,8) For (x. y, z) = (P.Pz.p3) + s(a,,aza;) + t(b,.by, by), then the: Parametric Equations of a Plane: * = P + sa, itbi Y = P2 + Say I t boz 2 = Ps + Sag + t b3 Symmetric Equation of a Plane: In order to find symmetric egs , we must be able to isolate all pararctic agns for the parameter. BUT in the case of a plane, we have two parameters and we are not able to isolate for both at the same time. . while we could still wolak for only one parameter, this is not usually done. t = x- P. - Sa - y- 12-592 7- -Say OR Page 2 of 4 5 - x - P -Ob _ y- 2 - tbz _ 2 - P - tbg a, 42 43
Step by Step Solution
There are 3 Steps involved in it
Get step-by-step solutions from verified subject matter experts
