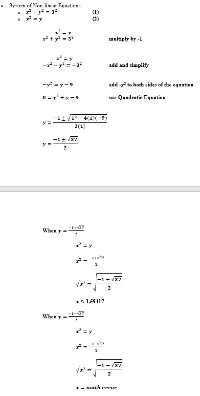
Question: fSystem of Non-linear Equations x'ty=3- D + =32 multiply by -1 -32 add and simplify -y-=y-9 add -y' to both sides of the equation 0zy'ty-9




\fSystem of Non-linear Equations x'ty=3- D + =32 multiply by -1 -32 add and simplify -y-=y-9 add -y' to both sides of the equation 0zy'ty-9 use Quadratic Equation -1+12-4(1)(-9) 2(1) -1+v37 2 When y = - -1+v37 2 -1+v37 -1 + v37 (x = 2 x 8 1.59417 When y = -1-V37 2 -1-V37 -1 - V37 2 x = math error
Step by Step Solution
There are 3 Steps involved in it
1 Expert Approved Answer
Step: 1 Unlock
Question Has Been Solved by an Expert!
Get step-by-step solutions from verified subject matter experts
Step: 2 Unlock
Step: 3 Unlock
