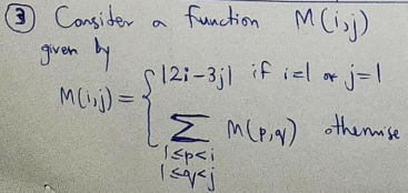
Question: function Misj a 3 Consider given by S 1213;] if iel of j=1 M(j) = E m(p,q) othermise Ispci Isalej @ Use tabulation to compute
![function Misj a 3 Consider given by S 1213;] if iel](https://dsd5zvtm8ll6.cloudfront.net/si.experts.images/questions/2024/09/66f3ca9a39a39_14566f3ca99b14a1.jpg)

function Misj a 3 Consider given by S 1213;] if iel of j=1 M(j) = E m(p,q) othermise Ispci Isalej @ Use tabulation to compute M (5,5). 0 What's the complexity of computing M(n,n)? 0
Step by Step Solution
There are 3 Steps involved in it
Get step-by-step solutions from verified subject matter experts
