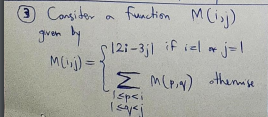
Question: function Misj) ch Consiter given by $123-3;] if iela j= ! MG_j) = E m(py) othermise Ispai si Use tabulation to compute M (5,5). what's
![function Misj) ch Consiter given by $123-3;] if iela j= !](https://dsd5zvtm8ll6.cloudfront.net/si.experts.images/questions/2024/09/66f3c3cdf0664_40566f3c3cd76e3f.jpg)

function Misj) ch Consiter given by $123-3;] if iela j= ! MG_j) = E m(py) othermise Ispai si Use tabulation to compute M (5,5). what's the complexity M(n,n)? of computing
Step by Step Solution
There are 3 Steps involved in it
Get step-by-step solutions from verified subject matter experts
