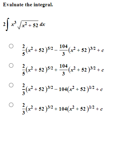
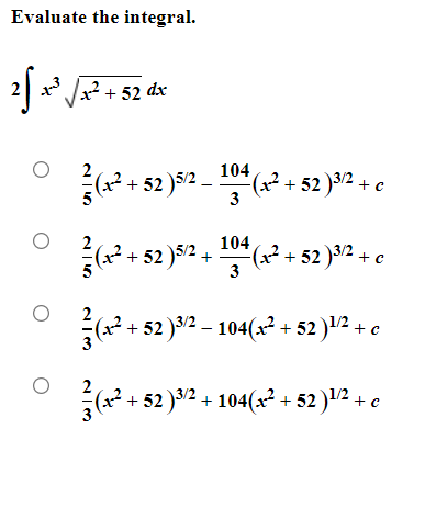
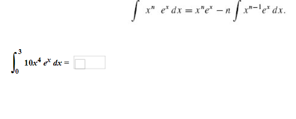
Question: fx edx = xe -n ( x- edx. 10x* e dx =fEvaluate the following integral: dx = +Evaluate the following integral. Enter an exact answer,










\fx" edx = x"e" -n ( x"- edx. 10x* e dx =\fEvaluate the following integral: dx = +Evaluate the following integral. Enter an exact answer, do not use decimal approximation. 31 \\ cos(x ) sin (x) dx = -7/3
Step by Step Solution
There are 3 Steps involved in it
Get step-by-step solutions from verified subject matter experts
