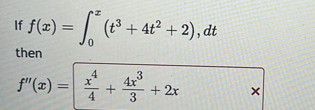
Question: f(x) = (t + 4t If + 4t + 2), dt then f (x) = 0 3 x+4x+2x 3 X
f(x) = (t + 4t If + 4t + 2), dt then f" (x) = 0 3 x+4x+2x 3 X
Step by Step Solution
There are 3 Steps involved in it
Get step-by-step solutions from verified subject matter experts
