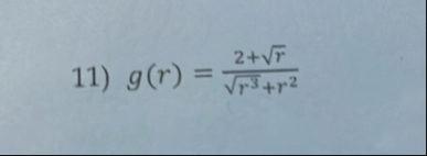
Question: g ( r ) = 2 r 2 r 3 r 2 2 Differentiate. Do NOT simplify past the derivative rule, Show all images Show
Differentiate. Do NOT simplify past the derivative rule,
Step by Step Solution
There are 3 Steps involved in it
1 Expert Approved Answer
Step: 1 Unlock
Question Has Been Solved by an Expert!
Get step-by-step solutions from verified subject matter experts
Step: 2 Unlock
Step: 3 Unlock
