Question: GENMATH 11 Lesson: $ 12 3 4 5 6 7 8 9101 . fer) = X - -2 (2, 4 ) fex ) 2 2

GENMATH 11

Lesson:

GENMATH 11 Lesson: $ 12 3 4 5 6 7 8 9101 . fer) =GENMATH 11 Lesson: $ 12 3 4 5 6 7 8 9101 . fer) =GENMATH 11 Lesson: $ 12 3 4 5 6 7 8 9101 . fer) =GENMATH 11 Lesson: $ 12 3 4 5 6 7 8 9101 . fer) =GENMATH 11 Lesson: $ 12 3 4 5 6 7 8 9101 . fer) =GENMATH 11 Lesson: $ 12 3 4 5 6 7 8 9101 . fer) =GENMATH 11 Lesson: $ 12 3 4 5 6 7 8 9101 . fer) =GENMATH 11 Lesson: $ 12 3 4 5 6 7 8 9101 . fer) =GENMATH 11 Lesson: $ 12 3 4 5 6 7 8 9101 . fer) =GENMATH 11 Lesson: $ 12 3 4 5 6 7 8 9101 . fer) =GENMATH 11 Lesson: $ 12 3 4 5 6 7 8 9101 . fer) =GENMATH 11 Lesson: $ 12 3 4 5 6 7 8 9101 . fer) =
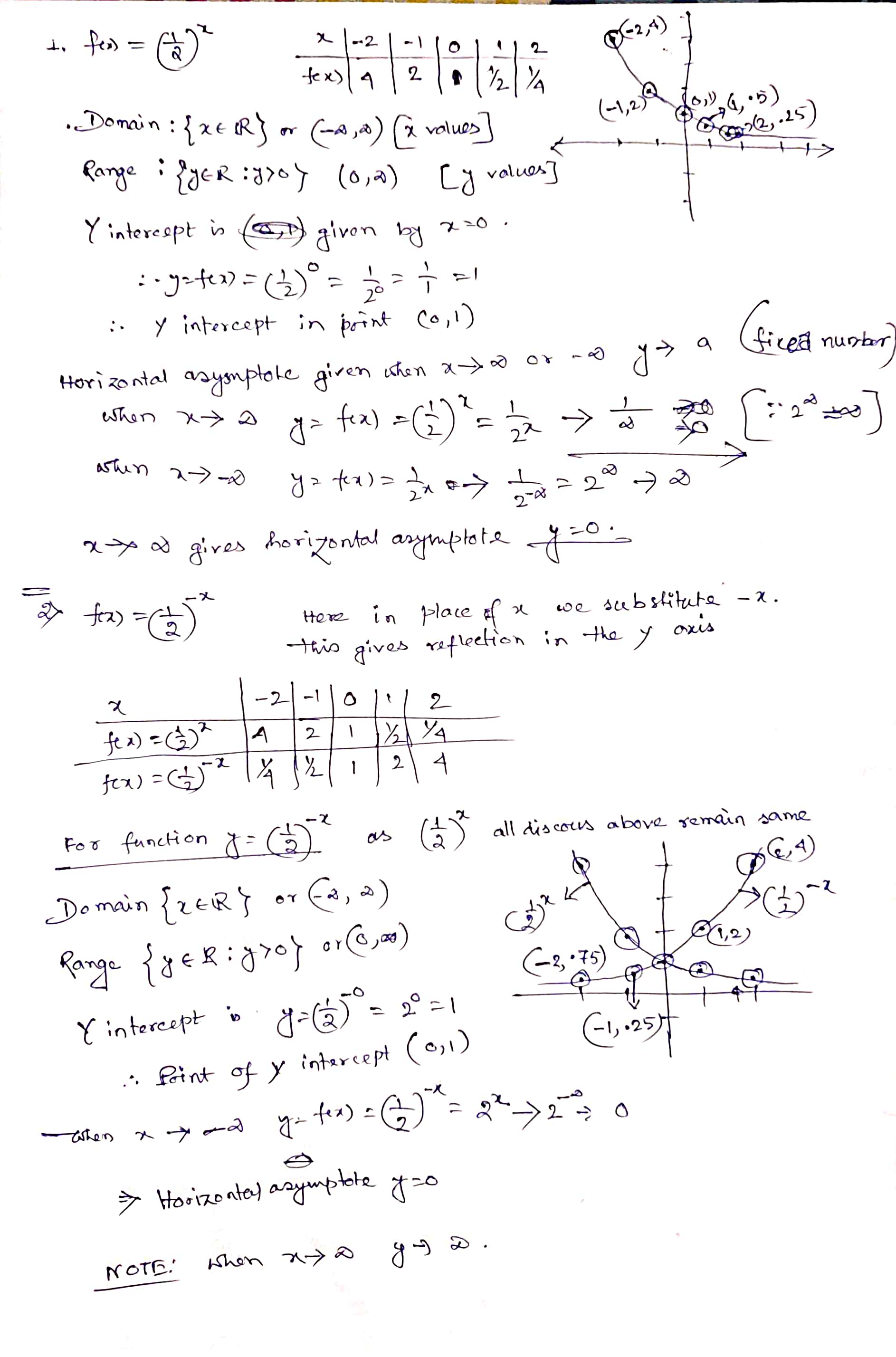
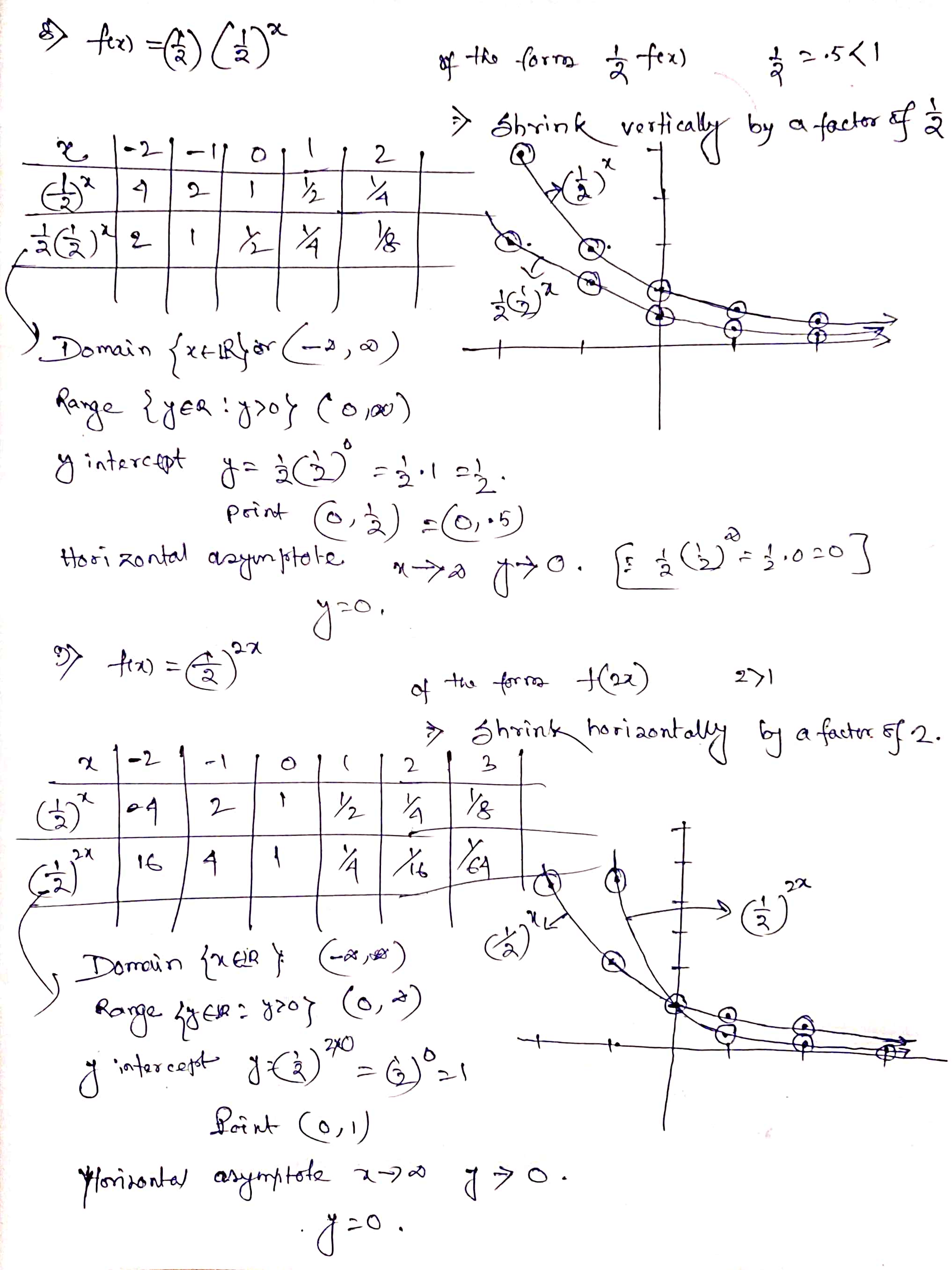
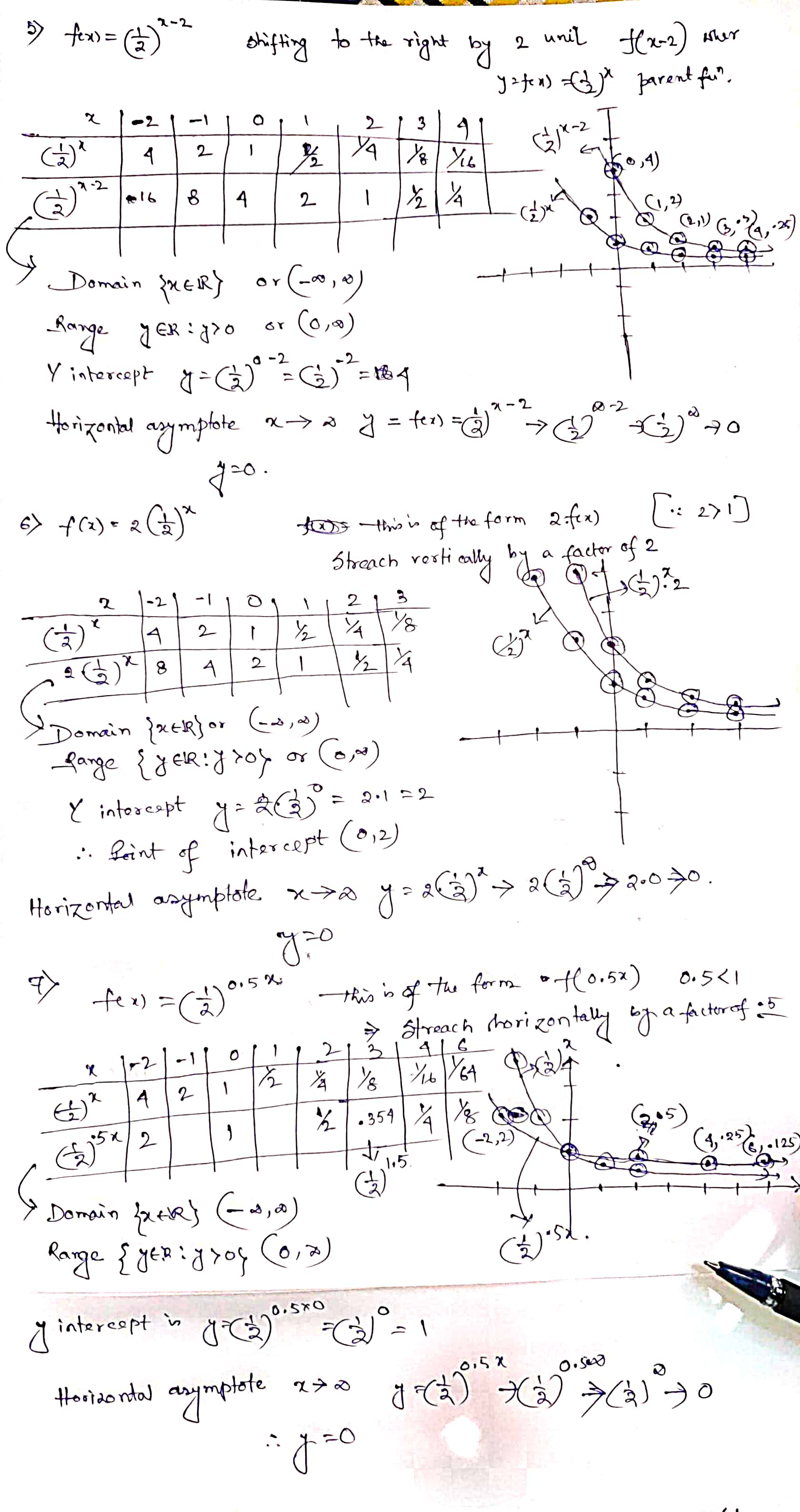
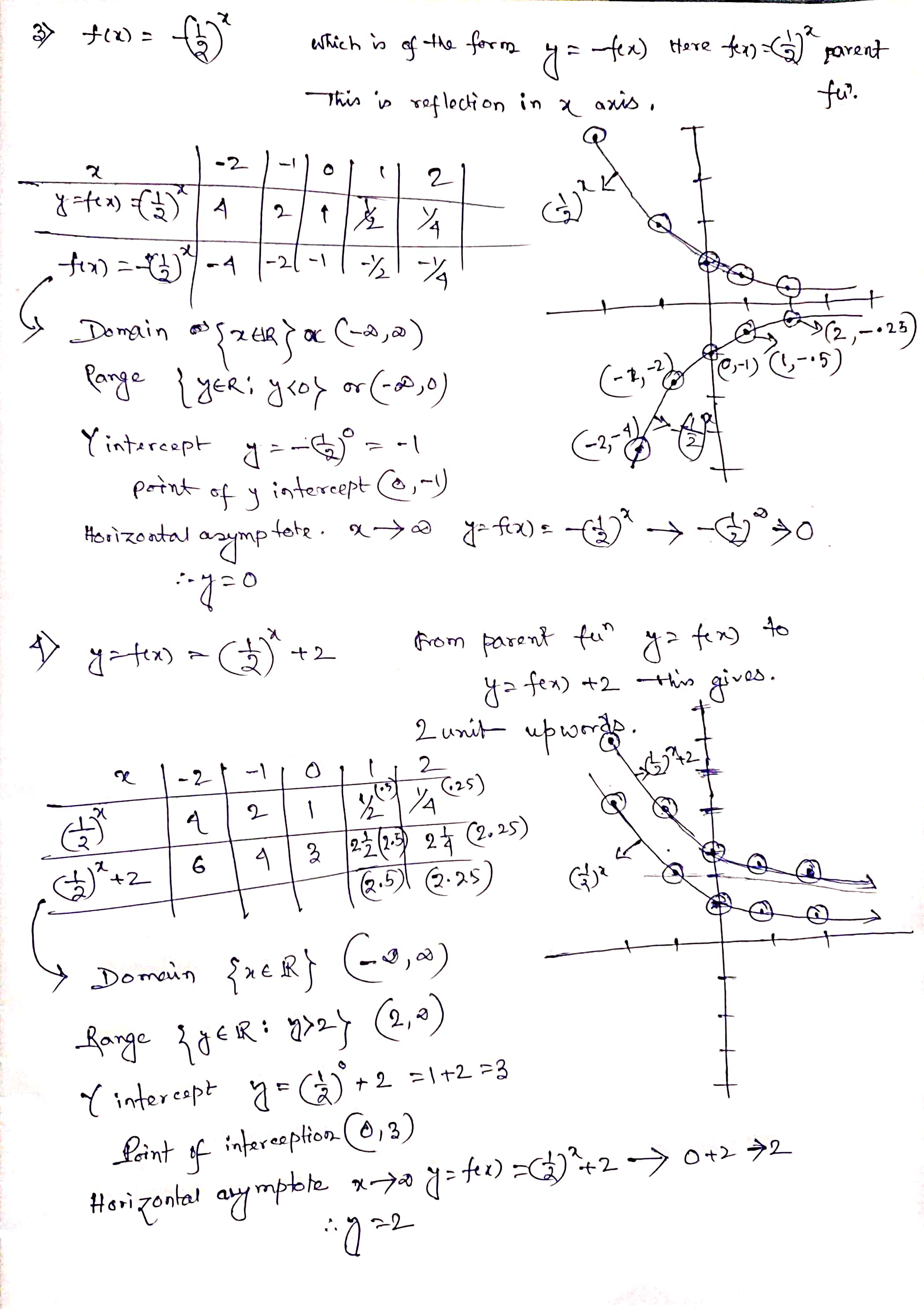
$ 12 3 4 5 6 7 8 9101 . fer) = X - -2 (2, 4 ) fex ) 2 2 . Domain : / xE (R) or (-, 0) ( x values] ( - 1, 2 ) 2 70, 1 6, . 5) 480? (2 ,.25 ) Range : lyER : 8707 ( 0 , 2 ) [ y values ] Yintercept is (, ) given by x20. : . g = tex> = ( 2 ) = to= ? = 1 . Y intercept in point Co, ! ) Horizontal asymptote given when x - or - a ( ficed number when x7 0 9= fex) = ( 2 ) = 2 0 astun 2-70 yz tex ) = zx => - 2 2 7 xx I gives horizontal asymptote yzo . 2 - x fox ) = 2 Here in place of a we substitute -2 . This gives reflection in the Y axis X 2 fex ) = (3 )" A 2 1 fex ) = ( ) 1 2 4 For function = ( 3) as (3 ) all discous above remain same Domain FIERY or ( x , 2 ) Range { JER : grol or ( 0 , 20 ) -2,.75) Y intercept " y = (2 ) = 2 = 1 . . Point of y intercept ( c,1 ) (1, . 25) 7 Horizontal asymptote to NOTE. when x-> yo sf (x) = Which is of the form y = fex ) there for) = ( 2 ) parent This is reflection in a axis . - 2 y= fex) ( ? ) 2 A 2 & - 4 -% Domain SxER ( OK (-2, 2 ) ED ( 2 1 - 023 ) Range ) yER: year or (-0, 0 ) (1, -. 5 ) Yintercept y = - (2 = - 1 -2, point of y intercept (0 , - 1 ) Horizontal asymptote . x -> a y= fix ) = (3 ) : - 7 = 0 -+ 2 from parent fun yz tend to 42 fex ) +2 -this gives . 2unit upwords. C 2 2 YA (25) 27 (2.3) 24 (2. 25) + 2 6 4 2 2.5)1 ( 2.25 ) Domain SHERRY ( - 0 , 2 ) Range 3 YEAR : 7/ 24 ( 2 , 2 ) ( intercept y = (3 ) + 2 = 1+ 2 = 3 Point of interception ( 0, 3 ) Horizontal arymptote x y= fex ) = (2 )" 2 -> 0+2 72 :1 2 25 ) fex) = 2 - 2 shifting to the right by 2 unit J ( x-2 ) wher X yzfen ) =( 3) parent ful O 2 3 4 2 4 1-2 10 , 4 ) $ 16 4 2 ,2 ) Domain SXERY or ( -oo , " ) YER : gro or ( 0 , 0 ) Y intercept ( = (3 ) = 6 ) = 184 Horizontal asymptote x > > y = fex) = (2) @ - (2 ) 70 HOODS this is of the form 2.fex ) [.: 2 7 1 ] Streach vertically by a factor of 2 - 2 - 1 2 3 4 2 8 4 2 14 Domain SXERy or ( - s , 0 ) farge { yer : froy or (a , ) + Y intercept y = & ( 3 ) = 2 . 1 = 2 :. Beint of intercept ( 01 2 ) Horizontal asymptote x 70 4 = 2 3) > 2 ( 8) - 2-070. fex ) = 015 x this is of the form - f(0.5x ) 0.51 1 Streach horizontally by a factorof : 5 O X - 2 2 1 12 4 2 2 . 354 4 - 2 , 2 ) 1.5 1 -12 Domain Ext) ( - 2,0) Range { YER : grog ( 0, x ) 3) y intercept in y = ( 2 ) 10 . 5 x0 = 1 015 x Horizontal asymptote 27 0 9 : ( 3 ) -( 20 - ( 3 ) 708 ) of the form fex ) $ 2.5 Shrink vertically by a factor of 2 - 11 O 2 2 12 2 ( 3 1 92 1 A Domain fxFIRfar (- 2, 00) Range LyER : yoy (010 ) Y intercept y = 3( 3) = 2.1 = 2. point (6, 2 ) = ( 0, . 5 ) Horizontal asymptote * 78 170 . [ = ( 2 ) = 3 .0 20 ] 2x fix ) = 2 of the form J( 2 2 ) 271 > Shrink horizontally by a factor of 2. - 2 O 2 3 2 ) 2 1/2 18 2x 16 4 16 2x 2 Domain fa Gin . ( - , #) Range LyER : yooy ( 0, 2 ) BD ( intercept y ( ? ) " 2 1 Point ( 0 , 1 ) Horizontal asymptote 2-0 7 7 0. 1 =0 .Graphing Paper Date : 1 . ) f ( x ) = ( 2 ) X X 21 f ( x ) : NI- - reflection in the y -axis 3 ) f ( x ) : - X - reflection in the x-axis 4 ) f ( * ) : NI - +2 - shifting upward ( vertical shifting ) 5 . ) f ( x ) = [ 1 * 2 - shifting to the right ( horizontal shifting ) 6 . f ( x ) = 2 ( 2 ) - stretching vertically 7 . ) f ( x ) = ( ; ) 0:5 x - stretching horizontally 8 ) f ( x ( 2 ) ( 2 ) - shrinking vertically 9 . ) f ( x ) = ( 2 ) 2 X - shrinking horizontallyGRAPHING EXPONENTIAL FUNCTIONS Properties of Exponential Functions: 1. The domain is the set of real numbers. Domain: {xER} or (-co, +co) 2. The range is the set of positive real numbers. Range: {yER: y > 0jor (0, +co) 3. It is a one-to-one function. 4. The y-intercept is the ordered pair (0,1). There is no x-intercept. It means that the graph of an exponential function and the x-axis do not intersect. 5. The horizontal asymptote is the horizontal line y=0 (or the x-axis). There is no vertical asymptote. Examples: Graph the following functions: 1. f(x) = 2x Solutions: Domain: set of all real numbers in x. Range: set of all positive numbers in y. y-intercept: (0,1) let x=0 and solve for y. y = 2x y = 20 y = 1 Horizontal asymptote: y=0 Table of values: X -2 -1 0 AN f(x) -(0.25) 2 5 (0.5) (y-int) (2.4) (-2.0.25) (-1.0.5) (o.1) (1.2) 2. f(x) = 4-x Solutions: 4-x = () Domain: set of all real numbers in x. Range: set of all positive numbers in y. y-intercept: (0,1) let x=0 and solve for y. y = () y = (H) y =1 Horizontal asymptote: y=0 Table of values: X -1 0 NI W f(x) 4 -(0.25) (y-int) (0.125)(-1.5, 6) (-1 0) (0. 1) (1, 0.25) (15, 0.125 GRAPHING TRANSFORMATIONS OF EXPONENTIAL FUNCTIONS A transformation of an exponential function with base b is a function of the form g(x) = a. bx-c + d, where a, c and d are real numbers. The transformations that we study here are SHIFTING, REFLECTING and STRETCHING. REFLECTING GRAPHS: To graph f (x) = b-*, reflect the graph of f(x) = b* in they - axis. To graph f(x) = -b*, reflect the graph of f(x) = b* in the x - axis. Examples: Sketch the graph of the following: 1. f (x) = 3-x 2. f (x) = -3* Solutions: 1. f (x) = 3-x Table of values: -2 -1 0 1 2 y= f(x) = 3* -(0.1 1 1) (0.333) y= f (x) = 3-x 9 3 (-2.9) (2.9) (-1,3) (1.3) (-2. 0.111) (-1. 0.333) (1,0:333) (2,0.111) Observations: 1. The domain of two functions is the set of all real numbers in x, Domain {xER} 2. The range of two functions is the set of all real numbers in y greater than 0,Range=(yER, y > 0} 3. Two functions have the same y-intercept, the ordered pair (0, 1),y - int. = (0,1) 4. The horizontal asymptote is the horizontal line y=0 (or the x-axis).. f (x) = -3* Table of values X 0 1 2 y= f (x) = 3* - WINWI -L 3 9 y= f (x) = -3* - 1 - 3 - 9 (2.9) (0, 1) (-2.0.101) (-1.0.333) ( 1.3 ) (-2 -0.111) (-1. -0.353) (0. -1) ( 1 . -3) (2. -9) desine 1. The domain of two functions is the set of all real numbers in x, Domain=(xER) 2. The range of the functions y= f(x) = -3* is the set of all real numbers in y less than 0, Range=(yER, y 0, To graph f(x) = b* + c, shift the graph of f(x) = b* upward c units. To graph yf (x) = b* - c, shift the graph of f(x) = b* downward c units. HORIZONTAL SHIFTING Suppose c > 0, To graph f(x) = b*+, shift the graph Of f(x) = b* to the right c units. To graph f(x) = b*-, shift the graph Of f(x) = b* to the left c units. Examples: 1. f(x) = 3* + 2, the graph of f(x) = 3* shift upward by 2 units. 2. f(x) = 3* - 2, the graph of f(x) = 3* shift downward by 2vunits. 3. f(x) = 3*-4, the graph of f(x) = 3* shift to the right by 4 units. 4. f(x) = 3*+, the graph of f(x) = 3% shift to the left by 4 units Examples: sketch the graph of the following: 1. f(x) = 3* + 2 2. f (x) = 3* - 2 3. f(x) = 3x-4 Solutions: 1. f(x) = 3* +2 Table of values: -2 0 1 N y= f(x) = 3* WI -L 3 9 y= f(x) = 3*+2 3 5 11 N(2, 11) 10 (2,9) (1.5) (0. 3) (-2. 2.111) (-1, 2.333) (0. 1) (1, 3) (-2,0.111) (-1,0.333) Observations: 1. Domain of two functions is the set of all real numbers in x. 2. Range: Range of f(x) = 3* + 2 is the set of all real numbers in y greater than or equal to 2. 3. y-intercept: y-intercept of f(x) = 3* :y-int=(0,1). y-intercept of f (x) = 3* + 2:y - int = (0,3) 4. horizontal asymptote of f (x) = 3* + 2: y=2 2. f(x) = 3* - 2 Solutions: Table of values: 0 1 IN y= f(x) = 3* - ar y= f (x) = 3* - 2 or 15 -1 (2.9) (2,7) (1.3) (0,1) (-2.0.111) (-1,0.383) (1.1) (-1, -1.667) (0. -1) Observations: 1. Domain of two functions is the set of all real numbers in x. 2. Range: Range of f(x) = 3* - 2is the set of all real numbers in y greater than -2. 3. y-intercept: y-intercept of f(x) = 3* :y-int=(0,1). y-intercept of f (x) = 3x - 2: y - int = (0, -1) 4. horizontal asymptote of f(x) = 3* - 2: y = -23. f(x) = 3x-4 Table of values: -1 0 2 3 4 5 6 y= f(x) = 3x 3 # 0.333 3 27 y= f(x) = 3x-4 1 3 9 81 - 0.012 * 0.333 (2. 9) (1.3) (5.3) (0.1) (4, 1 ) (-1, 0.333) (0, 0.012) (3, 0.333) Observations: 1. Domain of two functions is the set of all real numbers in x. 2. Range: Range of f (x) = 3*-4 is the set of all real numbers in y greater than 0. 3. y-intercept: y-intercept of f(x) = 3* :y-int=(0,1). y-intercept of f(x) = 3*-4:y - int = (0, ) horizontal asymptote of f (x) = 3* -4; y = 0. STRETCHING and SHRINKING: VERTICAL STRETCHING and SHRINKING Let a > 0, To graph f(x) = a. b*. If a > 1, stretch the graph of f(x) = b* vertically by a factor of "a". If 0 0, To graph f(x) = bax If a > 1, shrink the graph of f(x) = b* horizontally by a factor of "a". If 0 0} 3. Two functions have the same y-intercept, the ordered pair (0, 1),y - int. = (0,1) 4. The horizontal asymptote is the horizontal line y=0 (or the x-axis)

Step by Step Solution

There are 3 Steps involved in it

1 Expert Approved Answer
Step: 1 Unlock blur-text-image
Question Has Been Solved by an Expert!

Get step-by-step solutions from verified subject matter experts

Step: 2 Unlock
Step: 3 Unlock

Students Have Also Explored These Related Mathematics Questions!