Question: Give dynamic algorithm to compute lengths of shortest paths between all-pairs of vertices of a digraph. Using the same to find the shortest paths between
Give dynamic algorithm to compute lengths of shortest paths between all-pairs of vertices of a digraph.
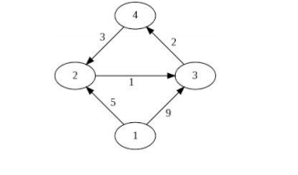
Using the same to find the shortest paths between all pairs of vertices for the graph given below:
Note:
Subject-Design and Analysis of Algorithms
- Algorithm don't want in english language. It should be Code.
- Code(algorithm) in c language
2 2 3 5 9
Step by Step Solution
There are 3 Steps involved in it
Get step-by-step solutions from verified subject matter experts
