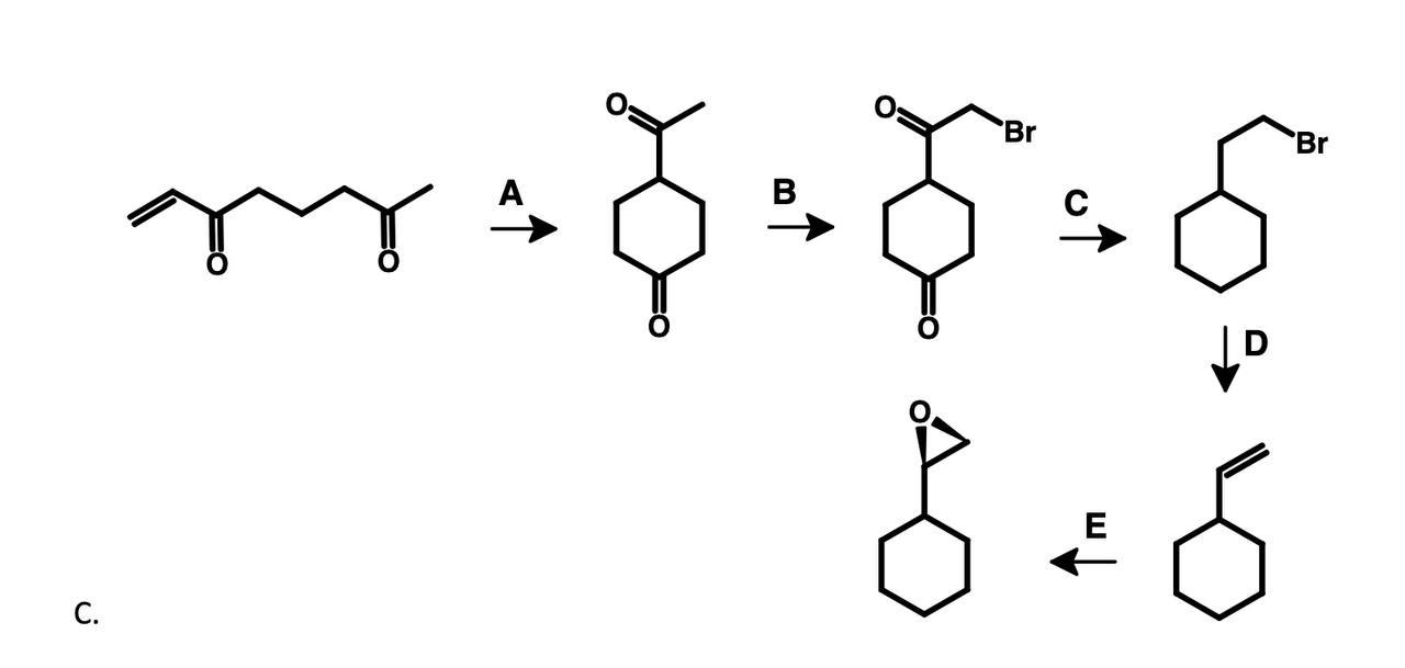
Question: Give reagents? Br Br A gryn --- E C

Give reagents? Br Br A gryn --- E CGive reagents?

Br Br A gryn --- E C

Step by Step Solution

There are 3 Steps involved in it

1 Expert Approved Answer
Step: 1 Unlock blur-text-image
Question Has Been Solved by an Expert!

Get step-by-step solutions from verified subject matter experts

Step: 2 Unlock
Step: 3 Unlock

Students Have Also Explored These Related Chemical Engineering Questions!